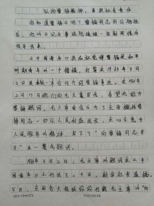
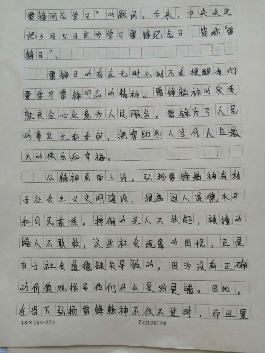
在雷锋月到来之际,为进一步弘扬新时代雷锋精神,学习中华民族的传统美德,呼吁广大同学从自身做起,学习雷锋精神。根据校团委下发的雷锋活动月的要求。土木工程学院于2020年3月14日开展“弘扬雷锋精神,勇担社会责任”线上征文活动。
土木工程学院全体同学积极参与,踊跃投稿,同学们用自己的笔记录了个人对雷锋精神的理解。
经过初审、复审、终审三个环节的层层选择,最终评选出一等奖一名,二等奖12名。分别为
第一名 梁鑫颖道桥19-01 201904140429








第二名 王婧璇 建工19-01 201904140136




第二名 庞艾琪 造价18-01 201804340125

吴爽建工19-01 201904140129 李琴燕 道桥19-01 201904140323


杨雨馨造价19-02 201904340235 姜思佳 建工19-02 201904140236


鹿迪造价19-01 201904340137


和云飞建工19-01 201904140133

韩畅建环19-01 201904240115


王涛工管19-01 201904440104 奕雨昕 造价19-02 201904340239


杨柳 建环19-01 201904240130


常远 造价19-01 201904340143 何雪娇 工管16-02 201604340219


以上同学会颁发证书作为鼓励,同时个人思想道德考核成绩加分。通过这次活动的开展,意在大力倡导“学习雷锋、奉献他人、提升自己”的志愿服务理念,引导学生树立奉献意识。