
土木工程专业
(道桥方向)实验
指导书
土木工程学院
2024年11月30日
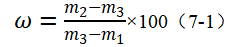
普通水准测量
一、实验目的
1.熟练了解自动安平水准仪各部件名称和使用方法。
2.练习水准路线的选点、布置。
3.掌据普通水准测量路线的观测、记录。计算检核以及集体配合、协调作业的施测过程。
4.掌握水准测量闭合路线成果检核及数据处理方法。
5.学会独完成一条闭合水准测量路线的实际作业过程。
二、实验仪器
自动安平水准仪1台、脚架1个、双面板尺一套(2个)、尺垫2个、术桩4-5个、斧头1把、记录板1块,铅笔、计算器。
三、实验原理
水准测量是利用水准仪提供的水平视线,通过观测水准标尺上的读数,计算地面两点间的高差,从而推算出未知点的高程。
四、自动安平水准仪构造示意图


圆水准器整平图后瞄准水准尺与读数,瞄准水准尺首先将望远镜对着明亮的背景(如天空或白色明亮物体),转动目镜对光螺旋,使望远镜内的十字丝像十分清晰(此后瞄准目标时一般不需要再调节目镜对光螺旋)。然后松开制动螺旋,转动望远镜,用望远镜上方的粗瞄准瞄准水准尺,大致进行物镜对光并在望远镜内看到水准尺像。此时立即制紧制动螺旋,转动水平微动螺旋,此时视线即为水平视线。
3.读数:仪器精平后,应立即用十字丝的中丝在水准尺上读数。观测者应先读出米、分米及厘米值,再估读水准尺上毫米数(小于一格的估值),一般应读出四位数。如图中水准尺的中丝读数为1.259m,其中末位9是估读的毫米数,可读记为1259,单位为mm。读数应迅速、果断、准确。读数后应立即重新检视符合水准气泡是否仍旧居中,如仍居中,则读数有效;否则应重新使符合水准气泡居中后再读数。
六、实验数据处理
1.检查数据完整性:仔细核对数据是否完整,是否存在漏记、错记的情况。
2.数据录入:将测量数据规范地录入表格中,确保数据准确无误。
3.数据分类:将数据按照不同的观测点进行分类,方便后续计算。
4.根据观测数据和水准尺读数,利用公式“后视读数-前视读数”计算出各测站间的高差。
5.检查高差闭合差:将各测站间的高差累加,得到闭合差,并根据允许误差判断测量精度。如果闭合差超过允许误差,则需要将闭合差按比例分配到各测站间的高差上。
6.确定已知点高程:选择一个已知高程点作为基准点,记录其高程。
7.计算各测点的待定高程:利用基准点高程和各测站间的高差,依次推算
出各测点的待定高程。
8.检查高程闭合差:将各测点的待定高程累加(或根据已知终点的高程进行
检验),得到闭合差(或检验闭合差),并根据允许误差判断测量精度。
9记录各测点的高程:将计算得到的各测点高程准确地记录在表格中。
10.标注测量精度:将测量精度(如闭合差、允许误差等)标注在表格中,
方便后期查看和分析。
11.整理计算过程:将计算过程整理成文档或报告形式,包括数据整理、高
差计算、高程计算等步骤的详细说明和计算结果。
七、注意事项
1.仪器校准:在实验开始前,必须对水准仪进行校准,确保仪器视准轴平行于水准管轴,以及水准尺的零点准确。检查水准仪是否准确、水准管是否完好,以及其他必要的设备是否正常。
2.环境条件:选择适宜的测量环境,避免在风大、雨雪、暴晒等恶劣天气条件下进行测量。确保测量地点平稳,无振动干扰,以保证测量精度。
3.基准点选择:基准点应稳固、平整,不易受外力干扰。在实验中,应选择合适的基准点作为测量起点,以确保测量的准确性和可靠性。
4.观测方法:在测量时,要采用正确的观测方法。例如,保持仪器水平,避免偏差;瞄准目标时,要消除视差;读数时,要估读到最小分度值,并记录完整数据。同时,应反复测量同一点,取平均值以减小误差。
5.数据处理:测量结束后,要对数据进行仔细处理和分析。检查数据是否完整、准确,然后进行高差和高程的计算。在计算过程中,要注意单位换算和精度保留。最后,对计算结果进行校核和修正,以消除可能存在的误差。
6.安全注意:在进行水准测量作业时,要注意自身安全。遵守相关规定,佩戴必要的安全装备,避免发生意外伤害。同时,要妥善保管测量仪器和设备,防止损坏或丢失。
7.记录整洁:实验记录应整洁、清楚,方便后续查看和分析。记录内容包括测量日期、地点、仪器型号、观测数据、计算结果等。
八、实验报告要求
1.实验数据:整理并列出实验过程中观测到的所有数据,包括后视读数、前视读数、高差、高程等。数据应准确无误,并注明单位。
2.计算结果:根据实验数据,计算出各测点的高程,并标注测量精度。同时,对计算结果进行校核和修正,以确保其准确性。
3.误差分析:分析实验中可能存在的误差来源,如仪器误差、观测误差、外界条件影响等。并评估这些误差对测量结果的影响程度。
4.实验结论:总结实验结果,得出实验结论。阐述水准测量的重要性和应用价值,以及实验中遇到的问题和解决方法。
5.实验反思:反思实验过程中的不足和需要改进的地方,提出改进措施和建议。同时,也可以分享实验中的收获和体会。
电子经纬仪的构造认识
一、实验目的
1.熟悉电子经纬仪的基本构造和各部件功能。
2.掌握型电子经纬仪的正确开机、关机及操作流程。
3.通过实际操作,加深对电子经纬仪测量原理的理解,为后续实验和工程测量打下基础。
二、实验仪器
电子经纬仪1台、三脚架1副、记录本和笔、遮阳伞(用于户外实验时遮挡阳光)。
三、电子经纬仪基本构造
1.望远镜:用于瞄准目标,具有放大功能和高分辨率。
2.水平度盘:用于测量水平角,采用绝对编码方式,确保测量精度。
3.竖直度盘:用于测量竖直角,同样采用绝对编码方式。
4.基座:用于支撑经纬仪,通过连接螺旋与三脚架固定。
5.显示屏:用于显示测量结果、设置参数等信息,操作界面简洁明了。
6.键盘:用于输入参数、设置功能等,按键布局合理,易于操作。
7.机载电池:为经纬仪提供电力支持,确保长时间稳定工作。

四、实验步骤
(一)、开机与初始设置
1.打开电子经纬仪的电源开关,等待显示屏亮起。
(二)、仪器对中与整平
1.选择稳固的地面安置三脚架,并调整架头高度。
2.使用垂球或光学对中器进行对中操作,确保经纬仪中心与测站点在同一铅垂线上。
3.进行整平操作,调整三脚架脚螺旋使水平度盘气泡居中。
(三)、瞄准与读数
1.松开望远镜和照准部的制动螺旋,用瞄准器粗略瞄准目标。
2.调整望远镜调焦透镜,使目标清晰成像在十字丝分划板上。
3.读取水平度盘和竖直度盘上的读数,并记录数据。
(四)、角度观测练习
1.选择远端高处明显标记作为目标进行水平角观测练习。
2.进行多个测回的观测,比较不同测回的结果,分析误差来源。
五、注意事项
1.在实验过程中要轻拿轻电子经纬仪及其部件,避免损坏或影响精度。
2.在进行对中与整平操作时,要确保三脚架稳固且水平度盘处于水平位置。
3.在瞄准与读数过程中,要仔细观察并消除各种误差来源,如视差、读数误差等。
4.实验结束后要及时关闭电子经纬仪电源并归还设备到指定位置。
六、实验报告要求
1.实验报告应包含实验目的、设备、步骤、数据记录和分析等内容。
2.数据记录要准确清晰,包括每次观测的读数、计算得到的角度值等。
3.对实验结果进行分析和总结,讨论实验中遇到的问题及解决方法。
4.提出改进意见和建议,为后续实验和工程测量提供参考。
测回法观测水平角
一、实验目的
进一步掌握经纬仪的技术操作,重点掌握观测程序和计算方法。要求每人观测1-2个角,计算出半测回值较差或一测回较差不超过士40”,角度闭合差fβ≤fβ容=士60”。
二、实验原理
水平角是指地面上一点到两个目标点的方向线垂直投影到水平面上的夹角,或者是过两条方向线的竖直面所夹的两面角。电子经纬仪通过其内部的水平度盘来测量这一夹角。当望远镜瞄准目标点时,水平度盘上的读数就代表了该方向线的水平角。通过读取不同目标点的水平角读数,可以计算出它们之间的夹角,即水平角。
三、实验仪器
电子经纬仪1台,脚架1个,木桩4个,记录板1块,斧头1把,花杆2个。
四、实验步骤
仪器安置与对中整平:
1.将电子经纬仪安置在三脚架上,确保仪器稳固且水平。
2.使用对中器或激光对中功能,使仪器中心与测站点铅垂线重合。
3.调整三脚架的三个脚螺旋,使圆水准器气泡居中,实现仪器的初步整平。
4.进一步使用长水准器进行精确整平,确保仪器在任意方向上均保持水平。
(二)仪器设置与校准
1.开机并进入仪器测量界面。
2.根据实验需求,设置水平角的起算方向(如选择某一目标点的方向作为0°方向)。
3.进行必要的仪器校准,如水平轴和竖轴的校准,以确保测量精度。
(三)目标照准与读数记录
1.使用望远镜的粗瞄准器对准目标点。
2.调整望远镜调焦旋钮,直至清晰看到目标点。
3.旋紧水平与垂直制动旋钮,微调两微动旋钮,将十字丝中心精确照准目标点。
4.按置零键(或相应功能键),将仪器水平角度值置为0°00′00″(或相应起始值),作为水平角起算的零方向。
5.顺时针或逆时针转动照准部,瞄准其他目标点,并记录仪器显示的水平角读数。
(四)对每个目标点进行多次观测,以提高测量精度。
1.记录每次观测的数据,包括目标点编号、观测次数、水平角读数等。
2.对观测数据进行处理和分析,计算每个目标点的平均水平角,评估测量精度。
五、注意事项
1、经纬仪对中时,应使三脚架架头大致水平,否则会导致仪器整平困难。
2、经纬仪整平时,应检查照准部旋转至任意方位水准管气泡皆居中。
3、经纬仪的对中、整平要反复进行,严格的同时达到要求,否则所测出的水平角不是工程中所需要的角度。
4、盘左、盘右瞄准时要用十字丝瞄准统一目标。
5、在测量时要特别注意水准管轴垂直于竖轴的校验和仪器的整平,以消除水准管轴不垂直于竖轴倾斜误差。消除水平度盘偏心差、视准轴不垂直于横轴、横轴不垂直于竖轴引起的误差可用盘坐盘右观测取平均值的方法消除。减弱度判刻划不均匀误差的影响,可用变换度盘取平均值的方法。
6、在做实验时在仪器的使用过程中,要注意仪器的保护,以避免因失误而造成的不必要的损失。三脚架要放置在尽量平稳的地方,放平后再安置仪器。调节及拆装仪器时动作要轻要慢。
7、在做实验时,可以分工合作,各个步骤穿插进行。比如几个人在进行某一步骤时,组内其他人可以同步进行其他步骤。当操作步骤不确定时可以互相讨论,以达成一致找到正确方法。这样可以提高效率,缩短时间,也是锻炼组内成员的合作能力。
8、对书上某些概念要掌握清楚、理解透彻。如盘左盘右的概念、仪器的度数、误差的可能性及消除等。对操作步骤也要有大致的掌握。这样不但可以节省实验时间,得到正确结果,也可以加深对实验的理解与体会,操作起来更加熟练,避免由于理解不到位引起的错误。
六、实验报告要求
1.在实验过程中,我们观测并记录了以下数据。所有数据均来自电子定位仪的直接读数,并经过初步检查以确保其准确性。
2.所有读数均保留两位小数,方向为相对于起始方向(如北方向)的顺时针或逆时针角度。
3.根据观测数据,我们计算了每个目标点的平均水平角,并标出了测量精度。平均水平角计算结果。
全站仪坐标测量及坐标放样
一、实验目的
1.掌握全站仪的基本操作,如开机、关机、仪器校准、坐标测量等。
2.熟悉全站仪的各种功能,包括距离测量、角度测量、高程测量等,并了解其在三维坐标测量中的应用。
3.掌握全站仪三维坐标放样方法:通过实际操作,熟悉全站仪在三维坐标放样中的基本流程和注意事项。
4.理解放样原理:深入理解全站仪进行三维坐标放样的基本原理,包括角度测量、距离测量及坐标计算等。
5.培养实践技能:通过实践,提高解决实际工程问题的能力,培养团队协作精神和科学态度。
二、实验仪器
全站仪1台、三脚架1个、棱镜及连接杆1套、已知控制点坐标数据、已知控制点坐标数据、、记录纸、铅笔等记录工具。
三、实验基本原理
全站仪是一种集测距仪、电子经纬仪和计算机技术于一体的先进测量仪器,具有自动化、数字化和智能化的特点。它通过发射和接收激光束进行测距,同时利用电子经纬仪测量角度,结合计算机技术进行数据处理,能够快速、准确地完成三维坐标测量。
坐标测量原理:通过全站仪测量目标点的水平角、垂直角和距离,结合已知点坐标和仪器高,计算出目标点的三维坐标(X、Y、Z)。
坐标放样原理:全站仪是一种高精度、高效、全自动的测量仪器,可以通过对地理坐标系进行精确的三维坐标测量,进而实现复杂工程量的计算和控制。放样是指根据设计图纸,按比例和比例尺标准把现场地形、建筑物的长度、角度等几何信息合理地绘制到场地上。在使用全站仪进行三维坐标放样时,首先需要设置放样基准点。在基准点处设置起始点,并输入起始点的坐标、相应的放样间距和比例尺。全站仪根据这些信息,能够准确计算出相应的目标点坐标,并指示出放样的方向和距离。在确定目标点位置后,使用全站仪对目标点进行测量和标记。
四、全站仪的构造示意图

五、实验步骤
(一)、坐标测量步骤:
1.仪器准备与检查。
2.确保全站仪外观完好,无明显损坏。
3.检查电池电量,确保充足。
4.准备棱镜、三脚架、连接线等必要附件。
5.选择视野开阔、无遮挡物的位置作为测站点。
6.将三脚架放置在测站点上,调整高度适中。
7.将全站仪安装在三脚架上,确保稳定。
8.进行仪器校准,包括水平度盘和垂直度盘的校准。
9.输入测站点的已知坐标和仪器高。
10输入后视点的已知坐标和棱镜高。
11.在需要测量的目标点上设置棱镜。
12使用全站仪分别测量目标点与测站点之间的距离、水平角和垂直角。
13.记录测量数据,包括距离、水平角、垂直角和坐标值。
14.将测量得到的坐标数据进行整理,形成表格形式。
15.根据测量数据,分析误差来源,判断测量精度。
(二)、坐标放样步骤:
(1)、现场勘测与准备
1.进行现场勘测,选择合适的放样基准点,并使用全站仪对其进行测量和标记。
2.准备三脚架、棱镜、连接线等必要附件,确保齐全。
3.将全站仪安装在三脚架上,确保稳定。
(2)、设置起始点与输入数据
1.在基准点处设置起始点,并测量其坐标。
2.将起始点的坐标、放样间距和比例尺等信息输入全站仪。
(3)、进行放样
1.根据全站仪的指示,沿着设定的方向前进,并在每个目标点处使用全站仪进行测量和标记。
2.在测量过程中,注意调整全站仪的角度和距离,确保放样的准确性。
六、数据处理
在实验区域内共选取了N个测量点(N为具体数值,根据实际情况确定),每个点位测量时间均在XX分钟以上,以确保数据的准确性。所有测量数据均已准确记录,包括点位坐标、高程等信息。经过数据处理和分析,得到了每个测量点的三维坐标值。坐标放样需将测量和标记的数据导入专业软件(如CAD),绘制出放样图形,对比设计图纸与放样结果,验证放样的精度和准确性。
七、实验报告要求
总结实验过程中学到的知识和技能,包括全站仪的基本操作、坐标测量原理、坐标放样数据处理与分析方法等。反思实验过程中遇到的问题和困难,以及解决的方法和经验。列出所有测量点的原始数据和处理后的坐标值。直观展示测量点的分布情况和测量结果。列出所有放样点的实际测量坐标与设计坐标的对比情况。
无人机测绘实验
一、实验目的
本次实习旨在通过无人机飞行与测量实践,掌握无人机的基本操作技能,了解无人机测量的原理和方法,提升解决实际问题的能力,并为后续的专业学习和工作打下坚实的基础。
二、实验原理
无人机测绘的基本原理是利用航空无人机搭载的遥感设备,如高清相机、红外摄像机、激光雷达等,通过空中拍摄、测量、建模等技术手段获取地面信息。这些遥感设备可以精准捕捉地面的空间信息,包括地形地貌、建筑物分布、高程信息等。在飞行过程中,无人机按照设定的航线进行飞行,不断拍摄大范围图像,并将捕捉到的数据实时传递到地面站或云服务器进行处理。
三、实验仪器
Mavic3Enterprise无人机、禅思镜头、大疆智图教育版
四、实验步骤
一、无人机飞行训练
(1)飞行前准备
1.设备检查:确保无人机电池充满电,遥控器与无人机连接正常,螺旋桨安装牢固,机身无损坏。
2.起飞地点选择:选择一个天气晴朗、空旷且无信号干扰的地点,确保起飞地点平整、干燥,四周开阔无遮挡,远离建筑物、山体、人群和电线。
3.安全指南阅读:仔细阅读无人机操作手册和安全指南,了解飞行过程中的注意事项和应急处理措施。
(2)起飞与降落
1.起飞:将遥控器油门推到最高点,无人机螺旋桨开始转动,当无人机离地后,先低空悬停在约5米高度,观察无人机状态,确保稳定后再进行其他操作。
2.控制飞行:使用遥控器精确控制无人机的航线、速度和高度,进行直线飞行、转弯、爬升和下降等动作练习。
3.降落:缓缓拉低油门杆,使无人机停止上升并逐渐接近地面,通过遥控器上的自动降落功能或手动控制实现平稳降落。
(3)飞行技巧
1.姿态控制:掌握无人机在不同姿态下的飞行技巧,如侧飞、倒飞等。
2.避障飞行:利用无人机的避障功能,在复杂环境中进行安全飞行。
3.紧急处理:学习无人机失控、电量不足等紧急情况下的处理方法。
五、无人机测量实践
(一)、测量区域规划
根据测量任务要求,规划测量区域,确定飞行航线、高度和重叠率等参数。
(二)、影像采集
1.启动无人机,按照规划航线进行飞行,自动采集地面影像数据。
2.确保影像清晰、无模糊或缺失,重叠率符合要求。
(三)、数据处理
使用专业的数据处理软件大疆智图教育版对采集的影像数据进行处理,生成三维模型、高程图和正射影像图等成果。
石灰稳定土组成设计综合试验
一、试验目的
1.满足三级公路底基层设计强度要求的石灰稳定土材料配合比(石灰剂量)以及最大干密度和最佳含水率的确定;
2.探寻石灰剂量变化对石灰稳定土最大干密度和最佳含水量的影响规律;
3.摸索石灰剂量变化对石灰稳定土强度的影响规律。
二、试验内容
1.原材料检验
(1)石灰:CaO+MgO含量试验。
(2)土:①颗粒分析试验;
②液塑限试验;
2.石灰稳定土击实试验(采用重型击实标准)
3.石灰稳定土圆柱形试件制作
4.石灰稳定土无侧限抗压强度试验
5.石灰稳定土养生试验
三、实施方案
本班级各试验小组按下表分工组织完成石灰稳定土圆柱形试件制作试验。因时间所限标准击实试验以及无侧限抗压强度试验无法完成仅给出具体试验数据。
表1石灰稳定土组成设计试验各组分工安排
分组 |
1组 |
2组 |
3组 |
4组 |
5组 |
石灰剂量 |
6% |
8% |
10% |
12% |
14% |
最佳含水率 |
14% |
15% |
16% |
17% |
18% |
最大干密度(g/cm3) |
1.81 |
1.79 |
1.77 |
1.75 |
1.73 |
7d无侧限抗压强度 (MPa) |
0.65 |
0.87 |
1.03 |
0.85 |
0.79 |
0.75 |
0.90 |
0.90 |
0.80 |
0.82 |
|
0.72 |
0.80 |
0.99 |
0.88 |
0.72 |
|
0.69 |
0.78 |
101 |
0.86 |
0.76 |
|
0.76 |
0.91 |
0.94 |
0.79 |
0.70 |
|
0.73 |
0.86 |
0.97 |
0.82 |
0.72 |
表2单个圆柱形试件材料用量计算
分组 |
1组 |
2组 |
3组 |
4组 |
5组 |
石灰剂量α |
6% |
8% |
10% |
12% |
14% |
最佳含水率W0 |
14% |
15% |
16% |
17% |
18% |
最大干密度
|
1.81 |
1.79 |
1.77 |
1.75 |
1.73 |
|
188.39 |
187.95 |
187.46 |
186.94 |
186.39 |
单个试件的干质量(g) m1=M/(1+W0) |
165.24 |
163.43 |
161.60 |
159.78 |
157.96 |
单个试件中石灰质量(g) m2=m1α/(1+α) |
9.35 |
12.11 |
14.69 |
17.12 |
19.40 |
单个试件中干土质量(g) m3=m1-m2 |
155.89 |
151.32 |
146.91 |
142.66 |
138.56 |
单个试件中水质量(g) mw=(m2+m3)×W0 |
23.13 |
24.51 |
25.86 |
27.16 |
28.43 |
计算检核 M=m2+m3+mw |
188.37 |
187.94 |
187.46 |
186.94 |
186.39 |

α——石灰稳定土的石灰剂量(石灰占干土的质量百分比)。
四、质量标准
1.石灰:CaO+MgO含量≥70%(Ⅲ级钙质生石灰);
2.土:塑性指数介于11~21;
3.石灰稳定土无侧限抗压强度:
表3石灰稳定土无侧限抗压强度标准值(MPa)
公路等级 层位 |
高速、一级公路 |
二级及二级以下公路 |
基层 |
—— |
≥0.8 |
底基层 |
≥0.8 |
>0.5~0.7 |
五、试验数据处理与结果分析
1.数据处理
(1)石灰剂量的确定

(2)绘制不同石灰剂量条件下的标准击实曲线。
(3)绘制石灰剂量与最佳含水量关系曲线。
(4)绘制石灰剂量与最大干密度关系曲线。
(5)绘制石灰剂量与无侧限抗压强度关系曲线。
2.结果分析
运用所学课程及其专业理论知识分析、判断、解答上述试验结果。
六、有关要求
1.各大组分工协作,试验数据结果共享,共同完成石灰稳定土材料的组成设计任务。
2.按计划要求做好试验各项准备以及预习。
3.试验过程要求细致认真、精益求精、组织有序,以保证试验结果的准确性和可靠性。
4.试验结束后,要求每人完成并上缴一份《石灰稳定土组成设计综合试验报告》。
七、参考资料
1.《公路工程无机结合料稳定材料试验规程》JTGE51-2009。
2.《公路路面基层施工技术细则》JTG/TF20-2015。
八、附录
附录A:无机结合料稳定材料击实试验方法
1.试验目的和适用范围
(1)本试验法适用于在规定的试筒内,对水泥稳定土(在水泥水化前)、石灰稳定土及石灰(或水泥)粉煤灰稳定土进行击实试验,以绘制稳定土的含水量—干密度关系曲线,从而确定其最佳含水量和最大干密度。
(2)试验集料的最大粒径宜控制在25mm以内,最大不得超过40mm(圆孔筛)。
(3)试验方法类别。本试验方法分三类,各类击实方法的主要参数列于表1-2。
试验方法类别表1-2
类别 |
锤的 质量 (cm) |
锤击面直径 (cm) |
落高 (cm) |
试筒尺寸 |
锤击 层数 |
每层锤击次数 |
平均单位击实功(J) |
容许最大粒径 (mm) |
||
内径 (cm) |
高 (cm) |
容积 (cm3) |
||||||||
甲 乙 丙 |
4.5 4.5 4.5 |
5.0 5.0 5.0 |
45 45 45 |
10 15.2 15.2 |
12.7 12.0 12.0 |
997 2177 2177 |
5 5 5 |
27 59 98 |
2.687 2.687 2.687 |
25 25 40 |
2.仪器设备
(1)击实筒:小型,内径100mm、高127mm的金属圆筒,套环高50mm,底座;中型,内径152mm、高170mm的金属圆筒,套环高50mm,直径151mm和高50mm的筒内垫块,底座。
(2)击锤和导管:击锤的底面直径50mm,总质量4.5kg,击锤在导管内的总行程为450mm。
(3)天平:感量0.01g。
(4)台秤:称量15kg,感量5g。
(5)圆孔筛:孔径40mm、25mm或20mm以及5mm的筛各1个。
(6)量筒:50mL、100mL和500mL的量筒各1个。
(7)刮刀及刮平尺。
(8)拌和工具:约400mm×600mm×70mm的长方形金属盘,拌和用平头小铲等。
(9)脱模器。
(10)测定含水量用的铝盒、烘箱等其它用具。
3.试料准备
将具有代表性的风干试料(必要时,也可以在50℃烘箱内烘干)用木锤或木碾捣碎。土团均应捣碎到能通过5mm的筛孔。
如试料是细粒土,将已捣碎的具有代表性的土过5mm筛备用(用甲法或乙法做试验)。
如试料中含有粒径大于5mm的颗粒,则先将试料过25mm的筛,如存留在筛孔25mm筛的颗粒的含量不超过20%,则过筛料留作备用(用甲法或乙法做试验)。如试料中粒径大于25mm的颗粒含量过多,则将试料过40mm的筛备用(用丙法试验)。
在预定做击实试验的前一天,取有代表性的试料测定其风干含水量,对于细粒土,试样应不少于100g;对于中粒土(粒径小于25mm的各种集料))试样应不少于1000g;对于粗粒土的各种集料,试样应不少于2000g。
4.试验步骤
(1)甲法
1)将已筛分的试样用四分法逐次分小,至最后取出约10~15kg试料。再用四分法将已取出的试料分成5~6份,每份试料的干质量为2.0kg(对于细粒土)或2.5kg(对于各种中粒土)。
2)预定5~6个不同含水量,依次相差1%~2%,且其中至少有两个大于和两个小于最佳含水量。
3)按预定含水量制备试样。将1份试料平铺于金属盘内,将事先计算得的该份试料中应加的水量均匀地喷洒在试料上,用小铲将试料充分拌和到均匀状态(如为石灰稳定土和水泥、石灰综合稳定土,可将石灰和试料一起拌匀),然后装人密闭容器或塑料口袋内浸润备用。
应加水量可按式1-10计算:

4)将所需要的稳定剂水泥加到浸润后的试料中充分拌和到均匀状态。加有水泥的试样拌和后,应在1h内完成下述击实试验,拌和后超过1h的试样,应予作废(石灰稳定土和石灰粉煤灰除外)。
5)试筒套环与击实底板应紧密联结。将击实筒放在坚实地面上,取制备好的试样(仍用四分法)400~500(其量应使击实后的试样等于或略高于筒高的1/5)倒人筒内,整平其表面并稍加压紧,然后按所需击数进行第一层试样的击实。击实时,击锤应自由铅直落下,落高应为45cm,锤迹必须均匀分布于试样面。第一层击实完后,检查该层高度是否合适,以便调整以后几层的试样用量。用刮土刀或改锥将已击实层的表面“拉毛”,然后重复上述做法,进行其余四层试样的击实。最后一层试样击实后,试样超出试筒顶的高度不得大于6mm,超出高度过大的试件应该作废。
6)用刮土刀沿套环内壁削挖(使试样与套环脱离)后,扭动并取下套环。齐筒顶细心刮平试样,并拆除底板。如试样底面略突出筒外或有孔洞,则应细心刮平或修补。最后用工字型刮平尺齐筒顶和筒底将试样刮平。擦净试筒的外壁,称其质量并准确至5g。
7)用脱模器推出筒内试祥。从试样内部从上到下取两个有代表性的样品(可将脱出试件用锤打碎后,用四分法采取),测定其含水量,计算至0.1%。两个试样的含水量的差值不得大于1%。
烘箱的温度应事先调整到110℃左右,以使放入的试样能立即在105~110℃的温度下烘干。
(2)乙法
略
(3)丙法
略
5.计算及制图
(1)按式1-11计算每次击实后稳定土的湿密度:

(3)绘图
以干密度为纵坐标,以含水量为横坐标,在普通直角坐标纸上绘制干密度与含水量的关系曲线,驼峰形曲线顶点的纵横坐标分别为稳定土的最大干密度和最佳含水量。最大干密度用两位小数表示。如最佳含水量的值在12%以上,则用整数表示(即精确到1%);如最佳含水量的值在6%~12%,则用一位小数“0”或“5”表示(即精确到0.5%):如最佳含水量的值小于6%,则取一位小数,并用偶数表示(即精确到0.2%)。
如试验点不足以连成完整的驼峰形曲线,则应该进行补充试验。
6.精密度或允许误差
应做两次平行试验,两次试验最大干密度的差不应超过0.05g/cm3(稳定细粒土)和0.08g/cm3(稳定中粒土和粗粒土),最佳含水量的差不应超过0.5%(最佳含水量小于10%)和1.0%(最佳含水量大于10%)。
7.试验记录
见试验报告。
附录B:无机结合料稳定材料试件制作、养生以及无侧限抗压强度试验方法
1.试验目的和适用范围
本试验方法适用于测定无机结合料稳定土(包括稳定细粒土、中粒土和粗粒土)试件的无侧限抗压强度。本试验方法包括:按照预定干密度用静力压实法制备试件以及用锤击法制备试件。试件都是高:直径=1:1的圆柱体。应该尽可能用静力压实法制备等于密度的试件。
2.试验仪具
(1)圆孔筛:孔径为40mm、25mm(或20mm)及5mm的筛各一个。
(2)试模:适用于下列不同土的试模尺寸为:
细粒土(最大粒径不超过10mm):试模的直径×高=50mm×50mm;
中粒土(最大粒径不超过25mm):试模的直径×高=100mm×100mm;
粗粒土(最大粒径不超过40mm):试模的直径×高=150mm×150mm。
(3)脱模器。
(4)反力框架:规格为400kN。
(5)液压千斤顶(200kN~500kN)。
(6)夯锤和导管。
(7)密封湿气箱或湿气池放在能保持恒温的小房间内。
(8)水槽:深度应大于试件高度50mm。
(9)路面材料强度试验仪或其它合适的压力机,但后者的规格应不大于200kN。
(10)天平:感量0.01g。
(11)台秤:称量10kg,感量5g。
(12)量筒、拌和工具、漏斗、大小铝盒、烘箱等。
3.试料准备
将具有代表性的风干试料(必要时,也可以在50℃烘箱内烘干)用木锤和木碾捣碎,但应避免破碎粒料的原粒径。将土过筛并进行分类。如试料为粗粒土,则除去大于40mm的颗粒备用;如试料为中粒土,则除去大于25mm或20mm的颗粒备用;如试料为细粒土,则除去大于10mm的颗粒备用。
在预定做试验的前一天,取有代表性的试料测定其风干含水量。对于细粒土,试样应不少于100g:对于粒径小于25mm的中粒土,试样应不少于1000g;对于粒径小于40mm的粗粒土,试样的质量应不少于2000g。
按试验六确定无机结合料混合料的最佳含水量和最大干密度。
4.制备试件
(1)对于同一无机结合料剂量的混合料,需要制相同状态的试件数量(即平行试验的数量)与土类及操作的仔细程度有关。对于无机结合料稳定细粒土,至少应该制6个试件;对于无机结合料稳定中粒土和粗粒土,至少分别应该制9个和13个试件。
(2)称取一定数量的风干土并计算干土的质量,其数量随试件大小而变。对于50mm×50mm的试件,1个试件约需干土180~210g;对于100mm×100mm的试件,1个试件约需干土1700~1900g;对于150mm×150mm的试件,1个试件约需干土5700~6000g。
对于细粒土,可以一次称取6个试件的土;对于中粒土,可以一次称取3个试件的土;对于粗粒土,一次只称取一个试件的土。
(3)将称好的土放在长方盘(约400mm×600mm×70mm)内。向土中加水,对于细粒土(特别是粘性土)使其含水量较最佳含水量小3%,对于中粒土和粗粒土可按最佳含水量加水。将土和水拌和均匀后放在密闭容器内浸润备用。如为石灰稳定土和水泥、石灰综合稳定土,可将石灰和土一起拌匀后进行浸润。
浸润时间:粘性土12~24h,粉性土6~8h,砂性土、砂砾土、红土砂砾、级配砂砾等可以缩短到4h左右;含土很少的未筛分碎石、砂砾及砂可以缩短到2h。
应加的水量可按式1-10计算:
(4)在浸润过的试料中,加入预定数量的水泥或石灰(水泥或石灰剂量按干土亦即干集料)质量的百分率计并拌和均匀。在拌和过程中,应将预留的3%的水(对于细粒土)加入土中,使混合料的含水量达到最佳含水量。拌和均匀的加有水泥的混合料应在1h内按下述方法制成试件,超过1h的混合料应该作废。其它结合料稳定土,混合料虽不受此限,但也应尽快制成试件。
5.按预定的干密度制件
用反力框架和液压千斤顶制件。制备一个预定干密度的试件,需要的稳定土混合料数量m1(g)随试模的尺寸而变,按式1-13计算。

在试摸的内壁及上下压柱的底面涂一薄层机油,将试模的下压柱放人试模的下部,但外露2cm左右。将称量的规定数量m2(g)的稳定土混合料分2~3次灌入试模中,每次灌入后用夯棒轻轻均匀插实;如制的是50mm×50mm的小试件,则可以将混合料一次倒入试模中,然后将上压柱放入试模内,应使其也外露2cm左右(即上下压柱露出试模外的部分应该相等)。
将整个试模(连同上下压柱)放到反力框架内的千斤顶上,加压直到上下压柱都压入试模为止。维持压力lmin。解除压力后,取下试模,拿去上压柱,并放到脱模器上将试件顶出。称试件的质量m2,小试件准确到1g;中试件准确到2g;大试件准确到5g。然后用游标卡尺量试件的高度h,准确到0.1mm。
用水泥稳定有粘结性的材料时,制件后可以立即脱模,用水泥稳定无粘结性材料时,最好过几小时再脱模。
小试件指50mm×50mm的试件,中试件指100mm×l00mm的试件,大试件指150mm×150mm的试件。下同。
6.养生
试件从试模内脱出并称量后,应立即放到密封湿气箱和恒温室内进行保温保湿养生。但中试件和大试件应先用塑料薄膜包复。有条件时,可采用蜡封保湿养生。养生时间视需要而定,作为工地控制,通常都只取7d,整个养生期间的温度应保持20±2℃。
养生期的最后一天,应该将试件浸泡在水中,水的深度应使水面在试件顶上约2.5cm;在浸泡水中之前,应再次称试件的质量m3。在养生期间,试件质量的损失应该符合下列规定:小试件不超过1g;中试件不超过4g;大试件不超过10g。质量损失超过此规定的试件,应该作废。
7.试验步骤
(1)将已浸水一昼夜的试件从水中取出,用软的旧布吸去试件表面的可见自由水,并称试件的质量m4。
(2)用游标卡尺量试件的高度h1,准确到0.1mm。
(3)将试件放到路面材料强度试验仪的升降台上,进行抗压试验。试验过程中,应使试件的形变等速增加,并保持速率约为1mm/min。记录试件破坏时的最大压力P(N)。
8.计算
试件的无侧限抗压强度R,按式1-14计算:

小试件不大于10%
中试件不大于15%
大试件不大于20%
9.试验记录
见试验报告。
一、概述
颗粒分析实验就是测定土中各种粒组所占该土总质量的百分数的试验方法,可分为筛析法和沉降分析法。
其中沉降分析法又有密度计法和移液管法等。
对于粒径大于0.075mm的土粒可用筛分析的方法来测定,
而对于粒径小于0.075mm的土粒则用沉降分析方法来测定。
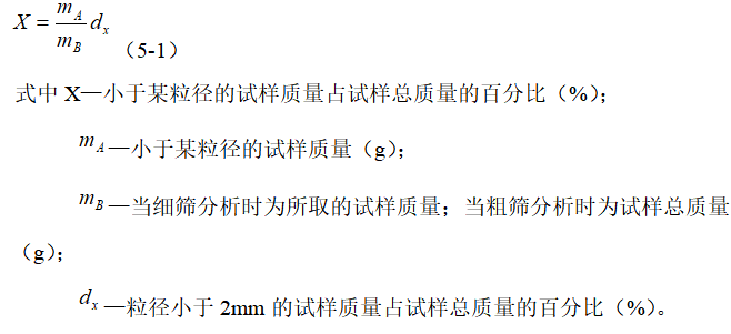
实验目的:测定小于某粒径的颗粒占土质量的百分比,以便了解土粒的组成情况,从而将土进行分类,为工程施工提供依据。
这里我们仅对筛析法进行介绍。
二、筛析法
筛析法就是将土样通过各种不同孔径的筛子,并按筛子孔径的大小将颗粒加以分组,然后再称量并计算出各个粒组占总量的该土总质量的百分数。筛析法是测定土的颗粒组成最简单的一种实验方法,适用于粒径小于、等于60mm,大于0.075mm的土。
(一)仪器设备
1、分析筛;
①圆孔粗筛,孔径为60mm,40mm,20mm,10mm,5mm和2mm。
②圆孔细筛,孔径为2mm,1mm,0.5mm,0.25mm,0.075mm。
2、称量1000g、最小分度值0.1g的天平;称量200g、最小分度值0.01g的天平;
3、振筛机;
4、烘箱、量筒、漏斗、研钵、瓷盘、不锈钢勺等。
(二)操作步骤
先用风干法制样,然后从风干松散的土样中,按表5-1称取代表性的试样,称量准确至0.1g,当试样质量超过500g时,称量应准确至1g。
1、无粘性土
(1)将按表5-1称取的试样过孔径为2mm的筛,分别称取留在筛子上和已通过筛子孔径的筛子下试样质量。
当筛下的试样质量小于试样总质量的10%时,不作细筛分析;
当筛上的试样质量小于试样总质量的10%时,不作粗筛分析。
(2)取2mm筛上的试样倒入依次叠好的粗筛的最上层筛中,进行粗筛筛析,
然后再取2mm筛下的试样倒入依次叠好的细筛的最上层筛中,进行细筛筛析。
细筛宜置于振筛机上进行震筛,振筛时间一般为10~15min。
(3)按由最大孔径的筛开始,顺序将各筛取下,称留在各级筛上及底盘内试样的质量,准确至0.1g。
(4)筛后各级筛上及底盘内试样质量的总和与筛前试样总质量的差值,不得大于试样总质量的1%。
表5-1筛析法取样质量
颗粒尺寸(mm) |
取样质量(g) |
<2 |
100~300 |
<10 |
300~1000 |
<20 |
1000~2000 |
<40 |
2000~4000 |
<60 |
4000以上 |
2、含有细粒土颗粒的砂土
(1)将按表5-1称取的代表性试样,置于盛有清水的容器中,用搅棒充分搅拌,使试样的粗细颗粒完全分离。
(2)将容器中的试样悬液通过2mm的筛,取留在筛上的试样烘至恒量,并称烘干试样质量,准确至0.1g。
(3)将粒径大于2mm的烘干试样倒入依次叠好的粗筛的最上层筛中,进行粗筛筛析。按由最大孔径的筛开始,顺序将各筛取下,称留在各级筛上及底盘内试样的质量,准确至0.1g。
(4)取通过2mm筛下的试样悬液,用带橡皮头的研杆研磨,然后再过0.075mm筛,并将留在0.075mm筛上的试样烘干至恒量,称烘干试样质量,准确至0.1g。
(5)将粒径大于0.075mm的烘干试样倒入依次叠好的细筛的最上层筛中,进行细筛筛析。细筛宜置于振筛机上进行震筛,振筛时间一般为10~15min。
(6)当粒径小于0.075mm的试样质量大于试样总质量的10%时,应采用密度计法或移液管法测定小于0.075mm的颗粒组成。
(三)成果整理
1、小于某粒径的试样质量占试样总质量的百分比可按式(5-1)计算:

2、制图
以小于某粒径的试样质量占试样总质量的百分比为纵坐标,以颗粒粒径为对数横坐标,在单对数坐标上绘制颗粒大小分布曲线。见图5-1。
3、按式(5-2)计算不均匀系数:

5、试验记录
筛析法颗粒分析试验记录
实训1水泥细度试验
一、水泥试验的一般规定
1.取样数量:
水泥应按同品种、同厂家、同强度等级进行取样,并符合下列规定:
袋装水泥:每一批次至少取样12kg,每200t作为1批次,不足200t按1个批次计量。
散装水泥:每一批次至少取样12kg,每500t作为1批次,不足500t按1个批次计量。
2.样品取后应储存在密封的容器中,容器应清洁、干燥、防潮、密闭、不宜破损并且不影响水泥的性能。
3.水泥应充分拌均,且用0.9mm方孔筛过筛。
4.试验时温度应保持在20±2℃,相对湿度应不低于50%
二、水泥细度试验
1.试验目的:评定水泥细度是否符合标准要求。
2.试验方法:负压筛法,用筛网上所得筛余量占试样原始质量的百分数来表示水泥样品的细度。(细度检验负压筛法、水筛法和干筛法三种,在检验中,如负压筛法与其它方法的测定结果有争议时,以负压筛法为准。)
3.仪器设备:负压筛、负压筛析仪、天平(量程:100克)。
4.试验步骤
(1)要求:实验前所用试验筛应保持清洁,负压筛和手工筛应保持干燥,试验时0.08mm筛析试验称取试样25克,0.045mm筛析试验称取试样10克。
(2)筛析试验前应把负压筛放在筛坐上、盖上筛盖,接通电源,检查控制系统、调节负压至4000~6000pa内。
(3)称取试样精确至0.05g,置于洁净的负压筛中,放在筛座上,盖上筛盖、接通电源。开动筛析仪连续筛析2mim,在此间如有试样附着在筛盖上,可轻轻地敲击筛盖使试样落下。筛毕,用天平称量全部筛余物,精确至0.05g。
三、成果计算

式中:F——水泥细度筛与百分数(%)
Rs——筛余物质量(g)
W——水泥试样质量(g)
80µm方孔筛筛余不得超过10.0%
实训2水泥标准稠度用水量试验(标准法)
一、仪器设备
水泥净浆搅拌机、量筒、天平等。
二、试验歩骤
1.试验前必须做到仪器灵活好用(调整至试杆接触玻璃板时指针对准零点),搅拌机运转正常。
2.水泥浆的拌制
用水泥净浆搅拌机搅拌,搅拌锅和搅拌叶片用湿布搽过。将拌合水倒入搅拌锅内,然后在5~10s内小心将称好的500g水泥加入水中,防止水和水泥溅出。搅拌时,先将锅放在搅拌机锅座上,升至搅拌位置上,启动搅拌机,低速搅拌120s,停拌15s,同时将叶片和锅壁上的水泥刮入锅中间,接着高速搅拌120s,停机。
3.标准稠度用水量的测定
拌合结束后,立即将拌好的试样装入锥模内,用小刀插捣,轻轻震动数次,刮去多余的净浆。抹平后迅速将试模和底板移到维卡仪上,并将其中心定在试杆下,降低试杆直至与水泥净浆表面接触。拧紧螺钉1~2s后,突然放松,使试杆垂直自由地沉入净浆中,在试杆停止沉入或释放试杆30s时记录试杆距底板之间的距离。升起试杆后,立即擦净。整个操作应在搅拌后1.5min内完成。
4.试验结果判定
以试杆沉入净浆并距离底板6±1mm的水泥净浆为标准稠度净浆,其拌合水量为该水泥的标准稠度用水量(p),按水泥质量的百分比计算。
实训3水泥凝结时间试验
一、主要仪器设备
水泥净浆搅拌机、标准法维卡议、试针和圆模、量筒、天平等。
二、试验步骤
1.调整凝结时间测定仪的试针接触玻璃板时,指针对准零点。
2.试件的制备:
以标准稠度用水量制备标准稠度净浆(记录水泥全部加入水中的时间作为凝结时间的起始时间),并立即一次装满试模,振动数次后刮平,立即放入温度湿度标准养护箱内。
3.初凝时间的测定:
试件在养护箱中养护至加水后30min时,进行第一次测定。测定时,从养护箱中取出试模放到试针下,降低试针与水泥净浆面接触。拧紧螺钉1~2s后,突然放松,使试针垂直自由地沉入净浆中,在试针停止沉入或释放试杆30s时记录试针距底板之间的距离。当试针沉至距底板4±1mm时,为水泥达到初凝状态,由水泥全部加入水中至初凝状态的时间为水泥的初凝时间,用“min”表示。
4.终凝时间测定:
为了准确观察试针沉入状况,在终凝针上安装了一个环形附件。在完成初凝时间测定后,立即将试模连同浆体以平移的方式从玻璃板取下,翻转180°,直径大端向上,小端向下放在玻璃板上。再放入养护箱中继续养护。临近终凝时每隔15min测定一次。当试针沉入试体0.5mm时,即环形附件开始不能在试件上留下痕迹时,为水泥达到终凝状态。由水泥全部加入水中至终凝状态的时间为水泥的终凝间,用(min)表示。
5.测定时应注意事项:
在最初测定操作时,应轻轻扶持金属棒,使其徐徐下放,以防试针弯曲,但测定结果以自由下落为准。在整个测试过程中试针沉入的位置至少要距试模内壁10mm。临近初凝时,每隔5min测定一次,到达初凝或终凝状态时应立即重复一次,当两次结论相同时,才能定为初凝或终凝状态。
每次测定不能让试针落人原针孔,每次测试完毕须将试针擦净并将试模放回养护箱内,整个测试过程要防止试模振动。
实训4水泥体积安定性试验
一、仪器设备
水泥净浆搅拌机、沸煮箱、雷氏夹、雷氏夹膨胀值测定仪(标尺最小刻度为1mm)、量筒、天平。
二、标准法(雷氏法)试验步骤
1.试验前每个雷氏夹需配备质量约75~85g的玻璃板两块、凡与水泥净浆接触的玻璃板和雷氏夹内表面都要稍稍涂上一层油。
2.水泥标准稠度净浆的制备;(与凝结时间相同)
3.雷氏夹试件的成型
将预先准备好的雷氏夹放在已稍涂油的玻璃板上,并立刻将已制好的标准稠度净浆装满雷氏夹,装浆时一只手轻轻扶持雷氏夹,另一只手用宽约10mm的小刀插捣数次,然后整平、盖上稍涂油的玻璃板,立即将试模移至养护箱养护24±2h。
4.沸煮
调整好沸煮箱内的水位,使其能保证在整个沸煮过程中都超过试件,中途勿添补水,同时能保证在30±5min内加热至恒沸。脱去玻璃板取下试件,先测量雷氏夹指针尖端的距离(a),精确到0.5mm。接着将试件放入沸煮箱水中的试件架上,指针朝上,然后在30±5min内加热至沸腾,并恒温180±5min
5.结果判别
沸煮结束后,放掉沸煮箱内的热水,打开箱盖,待箱体冷至室温,取出试件进行判别。测量雷氏夹指针尖端距离(c),精确到0.5mm,当两个试件沸煮后增加距离(c–a)的平均值不大于5.0mm时,即为该水泥安定性合格,当两个试件的(c–a)平均值相差超过5.0mm时,应用同一水泥立即重做一次试验。再如此,则认为该水泥为安定性不合格。
实训5水泥胶砂成型、胶砂强度试验
此试验适用于硅酸盐水泥、普通硅酸盐水泥、矿渣硅酸盐水泥、粉煤灰、硅酸盐水、复合硅酸盐水泥以及火山灰质硅酸盐水泥的抗折与抗压强度的试验。其它水泥采用本标准时必须探讨该标准规定的实用性。
一、仪器设备
水泥胶砂搅拌机、水泥胶砂振动台、抗折试验机、抗压试验机、试模、天平、大小播料铲
二、试验环境
1.试件成型试验室应保持在温度为20±2℃包括强度试验室),相对湿度大于50%。水泥试样、ISO标准砂拌和水及试模等的温度应与室温相同。
2.养护箱或雾室温度为20±1℃,相对湿度大于90%;养护水的温度为20±1℃。
3.试件成型试验室空气温度和相对湿度应在工作期间早晚至少各记录一次。养护箱或雾室温度和相对湿度至少每4h记录-次。
三、水泥胶砂制备
1.配料:水泥:标准砂:水=1:3:0.5,一锅胶砂成型三条试体。
每锅用料量为:水泥450±2g,标准砂1350±5g,拌和用水量225±1g。
2.搅拌:使搅拌机处于待工作状态,然后按以下的程序进行操作。
A.将水加入搅拌锅里,再加入水泥,把锅放在固定架上,上升至固定位置。
B.立即开动机器,低速搅拌30s后,在第二个30s开始的同时均匀地将砂子加入。再继续搅拌30s。
C.停拌90s,在停拌的第一个15s内用一胶皮刮具将叶片、锅壁上的胶砂刮入锅中间,在高速下继续搅拌60s。各个搅拌阶段、时间误差应在1s以内。
四、试件的制备及养护
1.试件的制备
(1)试件尺寸应是40mm×40mm×160mm的棱柱体。试件可用振动台成型。
(2)在搅拌胶砂的同时将试模和下料漏斗卡紧在振动台的中心。
(3)用振动台时,将空试模和模套固定在振动台上,用适当的勺子直接从搅拌锅中将胶砂分为两层装入试模。装第一层时,每个槽里约放300g胶砂,用大播料器垂直架在模套顶部,沿每个模槽来回一次,将料层播平,接着振实60次。再装入第二层胶砂,用小播料器播平,再振实60次。移走模套,并用刮尺以90°的角度架在试模顶的一端,沿试模长度方向以横向锯割动作慢慢向另一端移动,一次将超出试模的胶砂刮去,并用同一直尺将试件表面抹平。
(4)在试模上作标记或加字条表明试件的编号和试件相对于振动台的位置。两个龄期以上的试件,编号时应将同一试模中的三条试件分在两个以上的龄期内。
2.试件养护
(1)编号后,将试模放入养护箱养护,养护箱内箅板必须水平。水平放置时刮平表面。对于24h龄期的,应在破型试验前20min内脱模。对于24h以上龄期的,应在成型后20~24h内脱模。脱模时要非常小心,应防止试件损伤。硬化较慢的水泥允许延期脱模,但须记录脱模时间。
(2)试件脱模后即放入水槽中养护,试件之间间隙或试件上表面的水深不得小于5mm。每个养护池中只能养护同类水泥试件,并应保持恒定水位,不允许养护期间全部换水。
(3)除24h龄期或延迟48h脱模的试件外,任何到龄期的试件应在试验(破型)前15min从水中取出。抹去试件表面沉淀物,并用湿布覆盖。
(4)强度试验试体的龄期
试件龄期是从水泥搅拌开始时算起。不同龄期强度试验时间应符合下表:
24h |
48h |
3d |
7d |
>28d |
|
试验时间 |
24h±15min |
48h±30min |
72h±45min |
7d±2h |
>28d±8h |
五、强度试验一般规定
用规定的设备以中心加荷法测定抗折强度;在折断后的棱柱体上进行抗压试验,受压面是试体成型的两个侧面,面积为40mm×40mm,
1.抗折强度试验
(1)将试体一个侧面放在试验机支撑圆柱上,试体长轴垂直于支撑圆柱,通过加荷圆柱,以50±10N/s的速率均匀地将荷载垂直地加在棱柱体相对侧面上,直至折断。保持两个半截棱柱体处于潮湿状态直至抗压试验
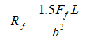
(2)抗折强度的计算(MPa)

式中:Ff---折断时施加于棱柱体中部的荷载(N)
L---支撑圆柱之间的距离100(mm)
B---棱柱体正方形截面的边长40(mm)
结果计算精确到0.1MPa
本实验以一组三个棱柱体抗折结果的平均值做试验结果,当三个强度值中有超出平均值±10%的值时,应剔除。
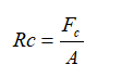
2.抗压强度试验
(1)抗压强度试验用规定的设备,在半截棱柱体的侧面进行。
(2)半截棱柱体中心与压力机压板受中心差应在0.5mm内,楞柱体露在压板外的部分约有10mm.
(3)在整个加荷过程中以2400±200N/s的速率均匀地加荷直至试件破坏。
(4)抗压强度的计算(MPa)

式中:Fc----破坏荷载(N)
A-----受压部分荷载(mm2)(40mm*40mm=1600mm2)
Rc---抗压强度(MPa)
以一组三个棱柱体上得到的6个抗压强度试验值的平均值做试验结果。如6个测定值中有一个超出6个平均值的±10%时,就应剔除这个结果,而以剩下5个的平均数为结果。如果5个测定值中再有超过它们平均数±10%的,侧此组试件无效。
实训6细集料筛分试验
一、目的与适用范围
测定细集料(天然砂、人工砂、石屑)的颗粒级配及粗细程度。对水泥混凝土用细集料可采用干筛法,如果需要也可采用水洗法筛分;对沥青混合料及基层用细集料必须用水洗法筛分。
注:当细集料中含有粗集料时,可参照此方法用水洗法筛分,但需特别注意保护标准筛筛面不遭损坏。
二、仪具设备
1.标准筛。
2.天平:称量1000g,感量不大于0.5g。
3.摇筛机
4.烘箱:能控温在105±5℃。
5.其它:浅盘和硬、软毛刷等。
三、试验准备
根据样品中最大粒径的大小,选用适宜的标准筛通常为9.5mm筛(水泥混凝土用天然砂)或4.75mm筛(沥青路面及基层用天然砂、石屑、机制砂等)筛除其中的超粒径材料然后将样品在潮湿状态下充分拌匀,用分料器法或四分法缩分至每份不少于550g的试样两份,在105±5℃的烘箱中烘干至恒重,冷却至室温后备用。
注:恒重系指相邻两次称量间隔时间大于3h(通常不少于6h)的情况下,前后两次称量之差小于该项试验所要求的称量精密度,下同。
四、试验步骤
1.干筛法试验步骤
(1)准确称取烘干试样约500g(m),准确至0.5g,置于套筛的最上面,即4.75mm筛上,将套筛装入摇筛机,摇筛约10min,然后取出套筛,再按筛孔大小顺序,从最大的筛号开始,在清洁的浅盘上逐个进行手筛,直到每分钟的筛出量不超过筛上剩余量的0.1%时为止,将筛出通过的颗粒并入下一号筛,和下一号筛中的试样一起过筛,以此顺序进行至各号筛全部筛完为止。
注:①试样如为特细砂时,试样质量可减少到100g。②如试样含泥量超过5%,不宜采用干筛法。③无摇筛机时,可直接用手筛。
(2)称量各筛筛余试样的质量,精确至0.5g。所有各筛的分计筛余量和底盘中剩余量的总量与筛分前的试样总量,相差不得超过后者的1%。
2.水洗法试验步骤
(1)准确称取烘干试样约500g(m),准确至0.5g。
(2)将试样置一洁净容器中,加入足够数量的洁净水,将集料全部淹没。
(3)用搅棒充分搅动集料,将集料表面洗涤干净,使细粉悬浮在水中,但不得有集料从水中溅出。
(4)用1.18皿筛及0.075mm筛组成套筛,仔细将容器中混有细粉的悬浮液徐徐倒出,经过套筛流入另-容器中,但不得将集料倒出。
注:不可直接倒至0.075mm筛.上,以免集料掉出损环筛面。
(5)重复上述步骤,直至倒出的水洁净切小于0.075mm的颗粒全部倒出。
(6)将容器中的集料倒入搪瓷盘中,用少量水冲洗,使容器上沾附的集料颗粒全部进入搪瓷盘中,将筛子反扣过来,用少量的水将筛上集料冲入搪瓷盘中。操作过程中不得有集料散失。
(7)将搪瓷盘连同集料一起置105±5℃烘箱中烘干至恒重,称取干燥集料试样的总质量(m2)。准确至0.1%。m与m2之差即为通过0.075mm筛部分。
(8)将全部要求筛孔组成套筛(但不需0.075mm筛),将已经洗去小于0.075mm部分的干燥集料置于套筛上(通常为4.75mm筛),将套筛装入摇筛机,摇筛约10min,然后取出套筛,再按筛孔大小顺序,从最大的筛号开始,在清洁的浅盘上逐个进行手筛,直至每分钟的筛出量不超过筛上剩余量的0.1%时为止,将筛出通过的颗粒并入下一号筛,和下一号筛中的试样一起过筛,这样顺序进行,直至各号筛全部筛完为止。
注:如为含有粗集料的集料混合料,套筛筛孔根据需要选择。
(9)称量各筛筛余试样的质量,精确至0.5g。所有各筛的分计筛余量和底盘中剩余量的总质量与筛分前后试样总量的差值不得超过后者的1%。
五、计算
1.计算分计筛余百分率
各号筛的分计筛余百分率为各号筛上的筛余量除以试样总量(my)的百分率,精确至0.1%。对沥青路面细集料而言,0.15mm筛下部分即为0.075mm的分计筛余,由上述试验测得的m与m2之差即为小于0.075mm的筛底部分。.
2.计算累计筛余百分率
各号筛的累计筛余百分率为该号筛及大于该号筛的各号筛的分计筛余百分率之和,准确至0.1%。
3.计算质量通过百分率
各号筛的质量通过百分率等于100减去该号筛的累计筛余百分率,准确至0.1%。
4.根据各筛的累计筛余百分率或通过百分率,绘制级配曲线。
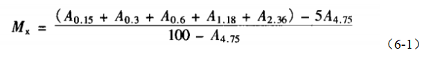
5.天然砂的细度模数按式(6-1)计算,精确至0.01。

式中:Mx--砂的细度模数;
6.进行两次平行试验,以试验结果的算术平均值作为测定值。如两次试验所得的细度模数之差大于0.2,应重新进行试验。
实训7细集料含水率试验
一、目的与适用范围
测定细集料的含水率。
二、仪具与材料
1.烘箱:能控温在105±5℃;
2.天平:称量2kg,感量不大于2g;
3.容器:浅盘等。
三、试验步骤
由来样中取各约500g的代表性试样两份,分别放入已知质量(m1)的容中称量,记下每盘试样与容器的总量(m2),将容器连同试样放入温度为105±5℃的烘箱中烘干至恒重,称烘干后的试样与容器的总量(m3)。
四、计算
按下式(7-1)计算细集料的含水率精确至0.1%。

式中:ω-集料的含水率(%);
m1-容器质量(g);
m2-烘干的试样与容器总质量(g);
m3-烘干后的试样与容器总质量(g)。
五、报告
以两次试验结果的算术平均值为测定值。
实训8细集料表观密度试验
一、目的与适用范围
用容量瓶法测定细集料(天然砂石屑机制砂)在23℃时对水的表观相对密度和观密度。本方法适用于含有少量大于2.36mm部分的细集料。
二、仪具与材料
1.天平:称量1kg,感量不大于1g;
2.容量瓶:500mL;
3.烘箱:能控温在105±5℃;
4.烧杯:500mL;
5.其它:洁净水、干燥器、浅盘、铝制料勺、温度计等。
三、试验准备
将缩分至650g左右的试样在温度为105±5℃的烘箱中烘干至恒重,并在干燥器内冷却至室温,分成两份备用。
四、试验步骤
1.称取烘干的试样约300g(m0)装人盛有瓶洁净水的容量瓶中。
2.摇转容量瓶,使试样在已保温至23±1.7℃的水中充分搅动以排除气泡,塞紧瓶塞,在恒温条件下静置24h左右。然后用滴管添水,使水面与瓶颈刻度线平齐,再塞紧瓶塞,擦干瓶外水分,称其总质量(m2)。
3.倒出瓶中的水和试样,将瓶的内外表面洗净,再向内注人同样温度的洁净水(温差不超过2℃)至瓶颈刻度线,塞紧瓶塞擦干瓶外水分,,其总质量(m1)。
注:在砂的表观密度试验过程中应测量并控制水的温度,试验期间的温差不得超过1℃。
五、计算
1.细集料的表观相对密度按下式(8-1)计算至小数点后3位

六、计算
以两次平行试验结果的算术平均值作为测定值,如两次结果之差值大于0.0lg/cm3时,应重新取样进行试验。
实训9细集料堆积密度试验
一、目的与适用范围
测定砂自然状态下堆积密度及空隙率。
二、仪具与材料
1.台秤:称量5kg,感量5g;

2.容量筒:金属制,圆筒形,内径108mm,净高109mm,筒壁厚2mm,筒底厚5mm,容积约为1L;
3.标准漏斗(见图T0331-1);
4.烘箱:能控温在105±5℃;
5.其它:小勺、直尺、浅盘等
三、试验准备
1.试样制备:用浅盘装来样约5kg,在温度为
105±5℃的烘箱中烘干至恒重,取出并冷却至室
温,分成大致相等的两份备用。
注:试样烘干后如有结块,应在试验前先予捏碎。
2.容量筒容积的校正方法:以温度为20±5℃
的洁净水装满容量筒,用玻璃板沿筒口滑移,使其紧贴水面,玻璃板与水面之间不得有空隙。
擦干筒外壁水分,然后称量,用式(9-1)计算筒的容积V。
V=m'2-m'l(9-1)
式中:V-容量筒的容积(mL);
m'l-容量筒和玻璃板总质量(g);
m'2-容量筒、玻璃板和水总质量(g)
四、试验步骤
堆积度:将试样装入中,打开底部的活动门,将砂流入容量中,也可直接用小勺向容量筒中装试样,但漏斗出料口或料距容量筒口均应为50mm左右,试样装满并超出容量筒筒口后,用直尺将多余的试样沿筒口中心线向两个相反方向刮平,称取质量(m1)。
五、计算
1.堆积密度按式(9-2)计算,精确至小数点后3位。


六、报告
以两次试验结果的算术平均值作为测定值。
实训10粗集料压碎值试验
一、目的与适用范围
集料压碎值用于衡量石料在逐渐增加的荷载下抵抗压碎的能力,是衡量石料力学性质的指标,以评定其在公路工程中的适用性。
二、仪具与材料
1.石料压碎值试验仪:由内径150mm、两端开口的钢制圆形试筒、压柱和底板组成,试筒内壁、压柱的底面及底板的上表面等与石料接触的表面都应进行热处理,使表面硬化,达到维氏硬度65,并保持光滑状态。
2.金属棒:直径10mm,长450mm~600mm,一端加工成半球形。
3.天平:称量2kg~3kg,感量不大于1g。
4.标准筛:筛孔尺寸13.2mm、9.5mm、2.36mm方孔筛各一个。
5.压力机:500kN,应能在1Omin内达到400kN。
6.金属筒:圆柱形,内径112.0mm,高179.4mm,容积1767cm3。
三、试验准备
1.采用风干石料用13.2mm和9.5mm标准筛过筛,取9.5mm~13.2mm的试样3组各3000g,供试验用。如过于潮湿需加热烘干时,烘箱温度不得超过100℃,烘干时间不超过4h。试验前,石料应冷却至室温。
2.每次试验的石料数量应满足按下述方法夯击后石料在试筒内的深度为100mm。在金属筒中确定石料数量的方法如下:
将试样分3次(每次数量大体相同)均匀装入试模中,每次均将试样表面整平,用金属棒的半球面端从石料表面上均匀捣实25次,最后用金属棒作为直刮刀将表面仔细整平,称取量筒中试样质量(m0),以相同质量的试样进行压碎值的平行试验。
四、试验步骤
1.将试简安放在底板上。.
2.将要求质量的试样分3次(每次数量大体相同)均匀装入试模中,每次均将试样表面整平用金属棒的半球面端从石料表面上均匀捣实25次,最后用金属棒作为直刮刀将表面仔细整平。
3.将装有试样的试模放到压力机上,同时加压头放入试筒内石料面上,注意使压头摆平,勿楔挤试模侧壁。
4.开动压力机,均匀地施加荷载,在10min左右的时间内达到总荷载400kN,稳压5s,然后卸荷。
5.将试模从压力机上取下,取出试样。
6.用2.36mm标准筛筛分经压碎的全部试样,可分几次筛分,均需筛到在lmin内无明显的筛出物为止。
7.称取通过2.36mm筛孔的全部细料质量(m1),准确至lg。
五、计算
计算石料压碎值按下式计算,精确至0.1%。

式中:Qa-石料压碎值(%);
m0-试验前试样质量(g);
m1-试验后通过2.36mm筛孔的细料质量(g)。
六、报告
以3个试样平行试验结果的算术平均值作为压碎值的测定值。
实训11粗集料针片状颗粒含量试验
一、目的与适用范围
1.本方法适用于测定水泥凝使用的4.75mm以上的集料的针状及片状颗粒含量,以百分率计。
2.本方法测定的针片状颗粒,是指使用专用规准仪测定的集料颗粒的最小厚度(或直径)方向与最大长度(或宽度)方向的尺寸之比小于一定比例的颗粒。
3.本方法测定的粗集料中针片状的含量,可用于评价集料的形状及其在工程中的适用性。
二、仪器与材料
1、水泥混凝土集料针状规准仪和片状规准仪见图T0311-1和图T0311-2,片状规准仪的钢板基板厚度3mm,尺寸应符合表T0311-1的要求。

2.天平或台:感量不大于称量值的0.1%。
3.标准筛:孔径分别为4.75mm、9.5mm、16mm、19mm、26.5mm、31.5mm、37.5mm,试验时根据需要选用。
三、试验准备
将来样在室内风干至表面于燥,并用四分法或分料器法缩分至满足表T0311-2规定的质量,称量(m0),然后分成表,T0311-2所规定的粒级备用。

四、试验步骤
1.目测挑出接近立方体形状的规则颗粒,将目测有可能属于针片状颗粒的集料按表T0311-2所规定的粒级用规准仪逐粒对试样进行针状颗粒鉴定,挑出颗粒长度大于针状规准仪上相应间距而不能通过者,为针状颗粒。
2.将通过针状规准仪上相应间距的针状颗粒,逐粒对试样进行片状颗粒鉴定,挑出厚度小于片状规准仪上相应孔宽能通过者,为片状颗粒。
3.称量由各粒级挑出的针状颗粒和片状颗粒的质量,其总质量为m1。
五、计算
碎石或砾石中针片状颗粒含量按下式计算精确至0.1%。

式中:Qe-试样的针片状颗粒含量(%);
m0-试样总质量(g);
m1-试样中所含针状颗粒与片状颗粒的总质量(g)。
注:如果需要可以分别计算针状颗粒和片状颗粒的含量百分数。
实训12粗集料含水率试验
一、目的与适用范围
测定碎石或砾石等各种粗集料的含水率。
二、仪具与材料
1.烘箱:能使温度控制在105±5℃;
2.天平:称量5kg,感量不大于5g。
3.容器:如浅盘等。
三、试验步骤
1.根据最大粒径,按规程要求的方法取代表性试样分成两份备用;
2.将试样置于净的量试样器的总质量(m1),并在105±5℃的箱中烘干至恒重。
3.取出试样后取试样与容的总质量(m2)。
四、计算
含水率按式(12-1)计算精确至0.1%。

式中:ω-粗集料的含水率(%);
m1-烘干前试样与容器的总质量(g);
m2-烘干后试样与容器的总质量(g);
m3-容器质量(g)。
五、报告
以两次平行试验结果的算术平均值作为测定值。
实训13粗集料含泥量试验
一、目的与适用范围
测定碎石或砾石中小于0.075mm的尘屑、淤泥和粘土的总含量及4.75mm以上泥块颗粒含量。
二、仪器与材料
1.台秤:感量不大于称量的0.1%。
2.烘箱:能控温105±5℃。
3.标准筛:测泥含量时用孔径为1.18mm、0.075mm的方孔筛各1只;测块含量时则用2.36mm及4.75mm的方孔筛各1只。
4.容器:容积约10L的桶或搪瓷盘。
5.浅盘、毛刷等。
三、试验准备
将来样用四分法或分料器分至规定的量(注意防止细粉丢失并防止所含粘土块被压碎),置于温度为105±5℃的烘箱内烘干至恒重,冷却至室温后分成两份备用。
四、试验步骤
称取试样1份(m0)装入容器内,加水,浸泡24小时,用手在水中淘洗颗粒(或用毛刷洗刷),使尘屑、粘土与较粗颗粒分开,并使之悬浮于水中;缓缓地将浑浊液倒入1.18mm及0.075mm的套筛上,滤去小于0.075mm的颗粒。试验前筛子的两面应先用水湿润,在整个试验过程中,应注意避免大于0.075mm的颗粒丢失。
再次加水于容器中,重复上述步骤直到洗出的水清澈为止。
用水冲洗余留在筛上的细粒,并将0.075mm筛放在水中(使水面略高于筛内颗粒)来回摇动,以充分洗除小于0.075mm的颗粒,而后将两只筛上余留的颗粒和容器中已经洗净的试样一并装入浅盘,置于温度为105±5℃的烘箱中烘干至恒重,取出冷却至室温后,称取试样的质量(m1)。
五、计算
碎石或砾石的含泥量按式(13-1)计算精确至0.1%。

式中:Qn-碎石或砾石的含泥量(%);
m0-试验前烘于试样质量(g);
m1-试验后烘干试样质量(g)。
以两次试验的算术平均值作为测定值,两次结果的差值超过0.2%时,应重新取样进行试验。对沥青路面用集料,此含泥量记为小于0.075mm颗粒含量。
实训14粗集料表观密度试验
一、目的与适用范围
本方法适用于测定各种粗集料的表观相对密度、表干相对密度、毛体积相对密度、表观密度、表干密度、毛体积密度,以及粗集料的吸水率。
二、仪器与材料
1.天平或浸水天平:可悬挂吊篮测定集料的水中质量,称量应满足试样数量称量要求,感量不大于最大称量的0.05%。
2.耐锈蚀材料制成,直径高度为150mm左右,四周及底部用1mm~2mm的筛网编制或具有密集的孔眼。
3.溢流水槽:在称量水中质量时能保持水面高度一定。
4.烘箱:能控温在105±5℃左右。
5.毛巾:纯棉制,洁净,也可用纯棉的汗衫布代替
6.温度计
7.标准筛
8.盛水容器(如塘瓷盘)。
9.其它:刷子等。
三、试验准备
1.将试样用标准筛过筛除去其中的细集料,对较粗的粗集料可用4.75mm筛过筛,对2.36mm~4.75mm集料,或者混在4.75mm以下石屑中的粗集料,则用2.36mm标准筛过筛。用四分法或分料器法缩分至要求的质量,分两份备用。对沥青路面用粗集料,应对不同规格的集料分别测定,不得混杂,所取的每一份集料试样应基本上保持原有的级配,在测定2.36mm~4.75mm的粗集料时,试验过中应特别小心,不得丢失集料。
2.经缩分后供测定密度和吸水率的粗集料质量应符合表T0304-1的规定:

3.将每一份集料试样浸泡在水中,并适当搅动,仔细洗去附在集料表面的尘土和石粉,经多次漂洗干净至水完全清澈为止。清洗过程中不得散失集料颗粒。
四、试验步骤
1.取试样一份装入干净的瓷盘中,注入洁净的水,水面至少应高出试样20mm,轻轻搅动石料,使附着在石料上的气泡完全逸出。在室温下保持浸水24h。
2.将吊篮挂在天平的吊钩上,浸入溢流水槽中,向溢流水槽中注水,水面高度至水槽的溢流孔,将天平调零。吊篮的筛网应保证集料不会通过筛孔流失,对2.36mm~4.75mm粗集料应更换小孔筛网,或在网篮中加放人一个浅盘。
3.调节水温在15℃~25℃范围内,将试样移入篮中,溢流水槽中的水面高度由水槽的溢流孔控制,维持不变。称取集料的水中质量(mw)
4.提起吊篮,稍稍滴水后,较粗的粗集料可以直接倒在拧干的湿毛巾上。将较细的粗集料(2.36mm~4.75mm)连同浅盘一起出,稍稍倾斜搪瓷盘,仔细倒出余水,将粗集料倒在拧干的湿毛巾上,用毛巾吸走从集料中漏出的自由水。此步骤需特别注意,不得有颗粒丢失,或有小颗粒附在吊篮上。再用拧干的湿毛巾轻轻擦干集料颗粒的表面水,至表面看不到发亮的水迹,即为饱和面干状态。当粗集料尺寸较大时,宜逐颗擦干。注意对较粗的粗集料,拧湿毛巾时不要太用劲,防止拧得太干,对较细的含水较多的粗集料,毛巾可拧得稍干些。擦颗粒的表面水时,既要将表面水擦掉,又千万不能将颗粒内部的水吸出。整个过程中不得有集料丢失,且已擦干的集料不得继续在空气中放置,以防止集料干燥。
注:对2.36mm~4.75mm集料,用毛巾擦拭时容易沾附细颗粒集料从而造成集料损失,此时宜改用洁净的纯棉汗衫布擦拭至表干状态。
5.立即在保持表干状态下,称取集料的表质量(mf)。
6.将集料置于浅盘中,放入105±5℃的烘箱中至恒重。取出浅盘,放在带盖的容器中冷却至室温,称取集料的烘干质量(ma)。
注:恒重是指相邻两次称量间隔时间大于3h的情况下,其前后两次称量之差小于该项试验要求的精密度,即0.1%。一般在烘箱中烘烤的时间不得少于4h~6h。
7.对同一规格的集料应平行试验两次,取平均值作为试验结果。
五、计算
1.表观相对密度γa、表干相对密度γs、毛体积相对密度γb、按下式计算至小数点后3位。


六、精密度或允许差
重复试验的精密度,对表观相对密度、表干相对密度、毛体积相对密度,两次结果相差不得超过0.02,对吸水率不得超过0.2%。
实训15粗集料堆积密度试验
一、目的与适用范
测定粗集料的堆积密度,即自然堆积状态下的间隙率。
二、仪器与材料
1.天平或台秤:感量不大于称量的0.1%。
2.容量简:适用于粗集料堆积密度测定的容量筒应符合表T0309-1的要求;

3.平头铁锹。
4.烘箱:能控温105±5℃。
5.振动台:频率为3000次/min±200次/min,负荷下的振幅为0.35mm,空载时的振幅为0.5mm。
6.捣棒:直径16mm、长600mm、一端为圆头的钢棒。
三、试验准备
取样质量应满足试验要求,在105±5℃的烘箱中烘干,也可以摊在清洁的地面上风于,拌匀后分成两份备用。
四、试验步骤
1.取试样1份,置于平整干净的水泥地(或铁板)上,用平头铁锹铲起试样,使石子自由落入容量筒内。此时,从铁锹的齐口至容量简上口的距离应保持为500mm左右,装满容量筒并除去凸出筒口表面的颗粒,并以合适的颗粒填人凹陷空隙,使表面稍凸起部分和凹陷部分的体积大致相等,称取试样和容量简总质量(m2)。
2.容量简容积的标定:用水装满容量简,测量水温,擦干筒外壁的水分,称取容量筒与水的总质量(mw),并按水的密度对容量筒的容积作校正。
五、计算
1.容量的容积按式(15-1)计算

六、报告
以两次平行试验结果的平均值作为测定值。
实训16粗集料筛分试验
一、目的与适用范围
1.测定粗集料(碎石、砾石、矿渣等)的颗粒组成。对水泥混凝土用粗集料可采用干筛法筛分,对沥青混合料及基层用粗集料必须采用水洗法试验。
2.本方法也适用于同时含有粗集料、细集料、矿粉的集料混合料筛分试验,如未筛碎石、级配碎石、天然砂砾、级配砂砾、无机结合料稳定基层材料,沥青拌和楼的冷料混合料、热料仓材料、沥青混合料经溶剂抽提后的矿料等。
二、仪器与材料
1.试验筛:根据需要选用规定的标准筛;
2.摇筛机;
3.天平或台秤:感量不大于试样质量的0.1%;
4.其它:盘子、铲子、毛刷等。
三、试验准备
按规定将来料用分料器或四分法缩分至表T0302-1要求的试样所需量,风干后备用,根据需要可按要求的集料最大粒径的筛孔尺寸过筛,除去超粒径部分颗粒后,再进行筛分。

四、水泥混凝土用粗集料干筛法试验步骤
1.取试样一份置105±5℃烘箱中烘干至恒重,称取集料试样的总质量(m0),准确至0.1%。
2.用塘瓷盘作筛分容器,按筛孔大小排列顺序逐个将集料过筛。人工筛分时,需使集料在筛面上同时有水平方向及上下方向的不停顿的运动,使小于筛孔的集料通过筛孔,直至1min内通过筛孔的质量小于筛上残余量的0.1%为止;当采用摇筛机筛分时,应在摇筛机筛分后再逐个由人工补筛。将筛出通过的颗粒并入下一号筛,和下一号筛中的试样一起过筛,顺序进行,直至各号筛全部筛完为止。应确认1min内通过筛孔的质量确实小于筛上残余量的0.1%。
注:由于0.075mm筛干筛几乎不能把沾在粗集料表面的小于0.075mm部分的石粉筛过去,而且对水混凝用粗集料而言,0.075mm通过率的意义不大,所以也可以不筛,且把通过0.15mm筛的筛下部分全部作为0.075mm的分计筛余,将粗集料的0.075mm通过率假设为0。
3.如果某个筛上的集料过多,影响筛分作业时,可以分两次筛分。当筛余颗粒的粒径大于19mm时,筛分过程中允许用手指轻轻拨动颗粒,但不得逐颗塞过筛孔。
4.称取每个筛上的筛余量,准确至总质量的0.1%。各筛分计筛余量及筛底存量的总和与筛分前试样的干燥总质量m0相比,相差不得超过m0的0.5%。
五、计算
1.干筛法筛分结果计算
计算各筛分计筛余量及筛底存量的总和与筛分前试样的总质m0之差,作为筛分时的损耗,并计算损耗率,记入表T0302-2之第(1)栏,若损耗率大于0.3%应重新进行试验。
m5=m0-(Σmi+m底)(16-1)
式中:m5-由于筛分造成的损耗(g);
m0-用于干筛的干燥集料总质量(g);
mi-各号筛上的分计筛余(g);
i-依次为0.075mm、0.15mm······至集料最大粒径的排序;
m底-筛底(0.075mm以下部分)集料总质量(g)。
2.干筛分计筛余百分率
干筛后各号筛上的分计筛余百分率按式(16-2)计算,记入表T302-2之第(2)栏,精确至0.1%。

m5-由于筛分造成的损(g);
m0-用于干筛的干燥集料总质量(g);
mi-各号筛上的分计筛余(g);
i-依次为0075mm、0.15mm·····至集料最大粒径的排序。
3.干燥累计筛余百分率
各号筛的累计筛余百分率为该号筛以上各号筛的分计筛余百分率之和,记入表T0302-2之第(3)栏,精确至0.1%。
4.干筛各号筛的质量通过百分率
各号筛的质量通过百分率Pi等于100减去该号筛累计筛余百分率,记入表T0302-2之第(4)栏,精确至0.1%。
5.由筛底存量除以扣除损后的干集料总质量计算0.075mm筛的通过率。
6.试验结果以两次试验的平均值表示,记入表T0302-2之第(5)栏,精确至0.1%。当两次试验结果P0.075的差值超过1%时,试验应重新进行。
7.同一种集料至少取两个试样平行试验两次,取平均值作为每号筛上筛余量的试验结果,报告集料级配组成通过百分率及级配曲线。


实训17水泥混凝土配合比设计
一、试验目的
混凝土配合比设计必须同时满足设计规程规范要求、混凝土工程性能要求、混凝土施工性能要求和经济合理要求。混凝土配合比设计是混凝土设计、生产和应用中最重要的环节之一,配合比设计的成功与否,决定了混凝士技术先进性、成本可控性和发展可持续性等水平。在掌握水泥和粗细骨料等各项指标的基础上,通过试验合理选择砼各种材料的比例确保混凝土的质量。
二、砼配合比
(1)砼使用环境:正常的居住或办公环境
(2)水泥砼结构构件设计标号C30,坍落度要求为50-70mm
(3)所用材料:普通硅酸盐水泥P∙O42.5,中砂,碎石5-31.5mm。
依据所学的知识点,配置塑性混凝土,要求有计算全过程,确定水灰比、每立方水泥用量、砂率及各种材料的比例关系。设计配合比和施工配合比要求分别确定。
实训18水泥混凝土工作和易性试验
一、试验目的
通过试验获取各项优选的数据,(特别是流动性)进而为施工提供保证质量的参数
二、主要仪器设备
搅拌机(容量、75~100升,转速为18~22r/min)、磅称(称量50kg)、天平、坍落筒、量筒、拌铲、拌板、容器等。
三、试验准备
1.所用材料应符合技术要求,并与施工实际用料相同,水泥如有结块现象,用0.9mm筛过筛,筛余团块不得使用。拌合时温度保持在20±5℃,相对湿度大于50%;拌和前,应将材料放置在温度为20±5℃的室内,且时间不宜少于24h。
2.在确定用水量时,应扣除原材料的含水量,并相应增加其它各种材料的用量。
3.各种材料用量以质量计算
称量精度:集料为1%,水,水泥及混凝土混合材料为0.5%。
4.拌合用具(如搅拌机,拌板和板铲等用具)应预先用水湿润,完毕后必须清洗干净。
5.拌和方法--机械拌合法
将称好的式样分别按石、水泥、砂依次装入搅拌机内。开动机器,将材料搅拌均匀,在拌合过程中徐徐定量的加入水,全部加料时间不宜超过2min,水全部加入后,继续搅拌2min,然后将拌合物倾倒在铁板上,再经人工翻拌两次,拌均后用做试验。(立即做坍落度试验)。
试验前混凝土拌合物应经人工略加翻拌,以保证其质量均匀。
从试样制备完毕到开始做各种性能试验不宜超过5min(不包括成型试件)。
四、试验步骤
1.湿润坍落桶及其它用具,并把桶放在不吸水的水平底版上,然后用脚踩住二边的踏板,使坍落度筒在装料时保持位置固定。
2.把按要求取得的混凝土试样用小铲分三层均匀地装入筒内,使捣实后每层高度为筒高的1/3左右。每层用捣棒捣25次。插捣应沿螺旋方向由外向中心进行,各次插捣应在截面上均匀分布。插捣第二层和顶层时,捣棒应插透本层直下一层的表面。
浇灌顶层时,混凝土应灌到高出筒口,插捣过程中,如混凝土沉落到低于筒口,则应随时添加。顶层插捣完后,刮去多余的混凝土并用抹刀抹平。
3.清除筒边底板上的混凝土后,垂直平稳地提起坍落筒。坍落筒的提升过程应在3~7s内完成。从加料到提起坍落度筒的整个进程应不间断地进行。并应在150s内完成。
4.提起坍落筒后,量侧筒高与坍落后混凝土试体最高点之间的高度差,即为该混凝土拌和物的坍落度值(以mm为单位,结果表达精确至5mm)
5.坍落筒提离后,如试件发生崩坍或一边剪坏现象,则应重新取样进行测定。如第二次仍出现这种现象,则表示该拌和物和易性不好,应记录备查。
6.测定坍落度后,观察拌和物的下述性质,并记录。
(1)粘聚性:用捣棒在坍落的拌和物锥体侧面轻轻击打,如果锥体逐渐下沉,表示粘聚性良好,如果锥体倒坍,部分崩裂或出现离析,即为粘聚性不好。
(2)保水性:提起坍落度筒后如有较多的稀浆从底部析出,锥体部分的拌和物也因失浆而骨料外露,则表明保水性不好。如无这种现象,则表明保水性良好。
五、坍落度的调整
1.在初步计算备好试拌材料的同时,另外还须备好两份为调整坍落度用的水泥与水,后备用的水泥与水的比例应符合原定的水灰比,其数量可在原来计算用量的5%或10%。
2.当测得拌和物的坍落度达不到要求,或粘聚性.保水性认为不满意时,可掺入备用的5%或10%的水泥和水;当坍落度过大时,可酌情增加砂和石子,尽快拌和均匀,重新做坍落度测定。
实训19水泥混凝土表观密度试验
一、试验目的
为施工的用量,为短途运输提供参数。
二、主要仪器设备
容积筒或混凝土的强度试模、捣棒、台称、刮板
三、试验步骤
1.用湿布将容量筒内外搽干净,称出筒质量(m1)
2.普通混凝土的装料及捣实方法应根据拌合物的稠度而定。坍落度不大于70mm的混凝土,用振动台振实为宜,大于70mm的混凝土,用捣棒振实为宜。
(1)采用捣棒振实时,应根据容量筒的大小决定分层与捣实次数。用5升容量筒时,普通混凝土的拌合物应分两层装入,每层的插捣次数应大于25次。用大于5升容量筒时,每层混凝土的高度应大于100mm,每层的插捣次数应按每100cm2截面不小于12次计算。各次插捣应均匀地分布在每层截面上,插到底层时捣棒应贯穿整个深度,插捣第二层时,捣棒应插透本层至下一层的表面,每一层捣完后可把捣棒垫在筒底,将筒左右交替地颠击地面各15次。
(2)采用振动台振实时,应一次将混凝土拌合物灌到高出容量筒口,装料时可用捣棒稍加插捣,振动过程中如混凝土沉落到低于筒口,侧应随时添加混凝土,振动直至表面出浆为止。
(3)用尺刮平筒口将多余的混凝土拌合物刮去,表面如有凹陷应予填平。
(4)容量筒外壁搽净,称出混凝土与容量筒总质量(G2)
四、混凝土拌合物的表观密度计算:

式中:G1----试模的质量(g)
G2----试模和试样的质量(g)
V----试模(容积升)的容积(L)
实训20水泥混凝土抗压强度试验
一、试验目的
是对配合比设计的强度检验,也是对砼标号的确定及对施工砼的质量检验。
本试验采用立方体试件,以同一龄期为一组,每组至少为三个同时制作并同时养护的混凝土试件。
二、抗压试件尺寸根据集料的最大粒径
按下表选取。
试件尺寸及强度换算系数
试件尺寸(mm) |
骨料最大尺寸mm |
每层插捣次数 |
抗压强度换算系数 |
100×100×100 |
31.5 |
12 |
0.95 |
150×150×150 |
40 |
25 |
1 |
200×200×200 |
63 |
50 |
1.05 |
三、主要仪器设备
压力试验机、振动台、试模、捣棒、拌板、铁锹等。
四、试件的制作
1.每一组试件所用的混凝土拌合物应由同一次拌和成的拌和物中取出。
2.制作前,应将试模洗干净并将试模的内表面涂一层矿物油脂。
3.机械捣实试件
(1)应在坍落度不大于70mm的混凝土用振动台振实。
(2)将拌和物一次装入试模,并捎有富裕,然后将试模放在振动台上。用固定装置予以固定。开动震动台至拌和物表面呈现水泥浆时为止。
(3)记录振动时间,振动结束后用镘刀沿模边缘将多余的拌和物刮去,并随即用镘刀将表面刮平。
4.人工捣实试件
(1)应在坍落度大于70mm时采用。
(2)混凝土拌合物应分两层装入试模,每次装料厚度基本相等。
(3)插捣按螺旋方向进行,捣棒应贯穿上层后插入下层20—30mm。
五、试件的养护
1.采用标准养护的试件成型后应用不透水的薄膜覆盖表面,以防止水分蒸发,并应在温度为20±5℃情况下静止一昼夜,然后编号拆摸。
2.拆模后的试样应立即放在温度为20±2℃,湿度为90%以上的标准养护室中养护
3.在标准养护室内试件应放在架上,彼此间隔为10~20mm,并应避免用水直接冲淋试件。
4.无标准养护室时,混凝土试件可在温度在20±2℃的不流动水中养护。水的ph值不应小于7。
5.与构件同条件养护的试件成型后,应覆盖表面。试件的拆模时间可于实际构件的拆模时间相同。拆模后,试件仍需保持同条件养护。
6.标准养护龄期为28d(从搅拌加水开始计时)。
六、抗压强度试验
1.试件从养护室取出后,随即搽干并量出其尺寸(精确至1mm)进而计算试件的受压面积A(mm2)。
2.将试件安放在下承压板上,试件的承压面应与试件成型时的顶面垂直。试件中心应与试验机下压板中心对准,开动试验机,当上压板与试件接近时,调整球坐,使接触均衡。
3.加压时,应连续均匀的加荷,加荷速度应为:
(1)混凝土强度等级底于C30时,取每秒钟0.3~0.5MPa。
(2)混凝土强度等级≧C30时,取每秒钟0.5~0.8MPa。
(3)当试件接近破坏而开始讯速变形时,停止调整试验机油门,直至试件破坏。记录破坏荷载F(N)。
七、试验结果整理
1.混凝土立方体试件抗压强度结果计算,(MPa)

式中fcu---抗压强度(MPa)F---破坏荷载(N)A---受压面积(mm2)
2.强度值的确定应符合下列规定:
(1)取三个试件测定值的算术平均值作为混凝土抗压、折强度的测定结果。
(2)如果三个则定值中的最小值或最大值中有一个与中间值的差异超过中间值的15%,则把最大及最小值一并舍去,取中间值作为该组试件的抗压、折强度值。
(3)如最大和最小值与中间值相差均超过15%,则此组试件作废。
(4)混凝土的抗压强度等级小于C60时,用非标准试件测得到强度值均应乘以尺寸换算系数,其值为对200mm×200mm×200mm试件为1.05;对100mm×100mm×100mm试件为0.95;混凝土抗压强度等级≥C60时,宜采用标准试件。使用非标准试件时,尺寸换算系数应由试验确定。
实训21沥青针入度试验
本方法实用于测定针入度小于350的石油沥青的针入度。
一、目的与适用范围
本方法适用于测定道路石油沥青、聚合物改性沥青针人度,以0.1mm计。其标准试验条件为温度25℃,荷重100g,贯人时间5s。
二、主要仪器设备
针入度仪、标准针、盛样皿、温度计、恒温水浴
三、准备工作
按试验要求将恒温水槽调节到要求的试验温度25℃,保持稳定。
1.将试样注人盛样皿中,试样高度应超过预计针人度值10mm,并盖上盛样皿,以防落入灰尘。盛有试样的盛样皿在15~30°C室温中冷却不少于1.5h(小盛样m)、2h(大盛样皿)或3h(特殊盛样皿)后,应移入保持规定试验温度25±O.1℃的恒温水槽中,并应保温不少于1.5h(小盛样皿)、2h(大试样皿)或2.5h(特殊盛样皿)。
2.调整针入度仪使之水平。检查针连杆和导轨,以确认无水和其他外来物,无明显摩擦。用三氯乙烯或其他溶剂清洗标准针,并擦干。将标准针插人针连杆,用螺钉固紧。按试验条件,加上附加砝码。
四、试验步骤
1.调平仪器。
2.试验温度保持在25℃。
3.试验皿取出后要放入在25℃的平底保温皿中。试样表面以上的水层高度应不少10mm,将保温皿放于针入度仪的平台上。
4.放下针连杆,使试针刚好与试样表面接触,拉下活杆,使与针连杆顶端相接触,调节刻度盘使指针为零。
5.用手紧压按钮,同时启动秒表,使标准针自由下落穿入沥青试样,到5秒钟,停止压按,使针停止移动。
6.拉下活杆与针连杆顶端接触,此时刻度盘指针的读数即为试样的针入度。
7.同一试样重复测定至少3次,各测试点之间及测定点与试样皿边缘之间的距离不少10mm,每次测定前应将平底玻璃皿放人恒温水浴。每次测定换一根干净的针或取下针用甲苯溶剂搽干净,再用干布搽干。
8.测定针入度大于200的沥青试样时,至少用三根针,每次测定后将针留在试样中,至少3次测定完成后,才能把针从试样中取出。
五、试验结果
取3次测定针入度的平均值,取至整数,作为试验结果,3次测定的针入度值相差不应大于下表的数值。否则试验应重作。
针入度 |
0~49 |
50~149 |
150~249 |
250~350 |
最大差值 |
2 |
4 |
6 |
10 |
实训22沥青延度试验
一、试验目的与适用范围
本方法适用于测定道路石油沥青、聚合物改性沥青、液体石油沥青蒸馏残留物和乳化沥青蒸发残留物等材料的延度。
沥青延度的试验温度与拉伸速率可根据要求采用,通常采用的试验温度为25℃、15℃、10℃或5℃,拉伸速度为5±0.25cm/min。当低温采用1±0.5cm/min拉伸速度时,应在报告中注明。
二、主要仪器设备
延伸仪、试件模具、水浴(容量至少为10L,能保持试验温度变化不大于0.1%℃的玻璃或金属器皿,试件侵入水中深度不得小于10cm,水浴中设置带孔搁架,搁架距底部不得小于5cm。温度计(0~50℃),瓷皿或金属皿(熔沥青用),筛(筛孔为0.3~0.5mm的金属网)砂浴或可控制温度的密闭电炉,甘油滑石粉隔离剂(甘油2份、滑石粉1份,按质量计)等。
三、试验准备
1.将隔离剂拌和均匀,涂于清洁干燥的试模底板和两个侧模的内侧表面,将模具组装在试模底板上。
2.将试样仔细自试模的一端至另一端往返数次缓缓注入模中,最后略高出试模,灌模时不得使气泡混入。
3.试件在室温中冷却不少于1.5h,然后用热刮刀刮除高出试模的沥青,使沥青面与试模面齐平。沥青的刮法应自试模的中间刮向两端,且表面应刮得平滑。将试模连同底板再放人规定试验温度的水槽中保温1.5h。
3.1.4检查延度仪延伸速度是否符合规定要求,然后移动滑板使其指针正对标尺的零点。将延度仪注水,并保温达到试验温度±O.1℃。
四、试验步骤
1.将保温后的试件连同底板移入延度仪的水槽中,然后将盛有试样的试模自玻璃板或不锈钢板上取下,将试模两端的孔分别套在滑板及槽端固定板的金属柱上,并取下侧模。水面距试件表面应不小于25mm。
2.开动延度仪,并注意观察试样的延伸情况。此时应注意,在试验过程中,水温应始终保持在试验温度规定范围内,且仪器不得有振动,水面不得有晃动,当水槽采用循环水时,应暂时中断循环,停止水流。在试验中,当发现沥青细丝浮于水面或沉入槽底时,应在水中加人酒精或食盐,调整水的密度至与试样相近后,重新试验。
3.试件拉断时,读取指针所指标尺上的读数,即为试件的延度,以cm表示。在正常情况下,试件延伸时应成锥尖状,拉断时实际横断面接近于零。如不能得到这样的结果,则应在报告中注明。
4.报告
同一样品,每次平行试验不少于3个,如3个测定结果均大于100cm,试验结果记作“>100cm”;特殊需要也可分别记录实测值。3个测定结果中,当有一个以上的测定值小于100cm时,若最大值或最小值与平均值之差满足重复性试验要求,则取3个测定结果的平均值的整数作为延度试验结果,若平均值大于100cm,记作“>100cm”;若最大值或最小值与平均值之差不符合重复性试验要求时,试验应重新进行。
5.允许误差
当试验结果小于100cm时,重复性试验的允许误差为平均值的20%,再现性试验的允许误差为平均值的30%.
实训23沥青软化点试验
一、试验目的与适用范围
本方法适用于测定道路石油沥青、聚合物改性沥青的软化点,也适用于测定液体石油沥青、煤沥青蒸馏残留物或乳化沥青蒸发残留物的软化点。通过试验可以知道沥青的粘性和塑性随温度升高而改变的程度,即软化点高时,温度稳定性高。
二、主要仪器设备
软化点测定仪(环球法:包括800ml烧杯、测定架、黄铜环、套环、钢球)、电炉或其它加热器、甘油等。
三、试验准备
1.将黄铜环置于涂有隔离剂的金属板或玻璃板上。
2.将预先加热的试样(加热温度不得高于试样估计软化点90℃,加热时间不超过30min)注入黄铜环内、至略高于环面为止。若估计软化点在120℃以上时,应将黄铜环与金属板预热至80~100℃。
3.试样在室温冷却30min后,用热刮刀刮去高出环面的试样,使其与环面齐平。
4.估计软化点不高于80℃的式样,将盛有试样的黄铜环及试样底板置于装有5±0.5℃水的恒温水槽中,至少恒温15min。同时将金属支架、钢球、钢球定位环等亦置于相同水槽中。
5.烧杯内注入新煮沸并冷却至5℃的蒸馏水或纯净水,水面略低于环架连杆上的深度标记。
四、试验方法
1.从恒温水槽中取出盛有试样的黄铜环放置在环袈中承板的圆孔中,并套上刚球定位环把整个环架放入烧杯内,调整水面至深度标记,并保持水温为5±0.5℃。环架上任何部分均不得附有气泡。启动软化点仪,使烧杯内水或甘油温度在3min内保持每分钟上升5±0.5℃,在整个测定中如温度的上升速度超出此范围时,则实验应重作。
3.试样受热软化逐渐下坠,至与下底板表面接触时,立即读取温度,准确至0.5℃。
五、试验结果
取平行测定两个结果的算术平均值作为测定结果,准确至0.5℃。重复测定两个结果间的差数不得大于表中的规定。
软化点(℃) |
重复性试验允许误差(℃) |
再现性试验允许误差(℃) |
﹤80 |
1 |
4 |
≥80 |
2 |
8 |
实训24沥青与粗集料的黏附性试验
一、目的与适用范围
本方法适用于检验沥青与粗集料表面的黏附性及评定粗集料的抗水剥离能力。对于最大粒径大于13.2mm的集料应用水煮法,对最大粒径小于或等于13.2mm的集料应用水浸法进行试验。当同一种料源集料最大粒径既有大于又有小于13.2mm的集料时,取大于13.2mm水煮法试验为标准,对细粒式沥青混合料应以水浸法试验为标准。
二、仪具与材料技术要求
1天平:称量500g,感量不大于0.01go
2恒温水槽:能保持温度80°C±1°C。
3拌和用小型容器:500mL。
4烧杯:1000mL。
5试验架。
6细线:尼龙线或棉线、铜丝线。
7铁丝网。
8标准筛:方孔筛,9.5mm、13.2mm、19mm各1个。
9烘箱:装有自动温度调节器。
10电炉、燃气炉。
11玻璃板:200mmx200mm左右。
12搪瓷盘:300mmx400mm左右。
13其他:拌和铲、石棉网、纱布、手套等。
三、水煮法试验
1、准备工作
(1)将集料过13.2mm、19mm筛,取粒径13.2~19mm形状接近立方体的规则集料5个,用洁净水洗净,置温度为105±5℃的烘箱中烘干,然后放在干燥器中备用。
(2)大烧杯中盛水,并置于加热炉的石棉网上煮沸。
2、试验步骤
(1)将集料逐个用细线在中部系牢,再置105±5℃烘箱内1h。准备沥青试样。
(2)逐个用线提起加热的矿料颗粒,浸人预先加热的沥青(石油沥青130℃~150℃)中45s后,轻轻拿出,使集料颗粒完全为沥青膜所裹覆。
(3)将裹覆沥青的集料颗粒悬挂于试验架上,下面垫--张纸,使多余的沥青流掉,并在室温下冷却15min。
(4)待集料颗粒冷却后,逐个用线提起,浸人盛有煮沸水的大烧杯中央,调整加热炉,使烧杯中的水保持微沸状态,如图T0616-1所示,但不允许有沸开的泡沫.

(5)浸煮3min后,将集料从水中取出,适当冷却:然后放入一个盛有常温水的纸杯等容器中,在水中观察矿料颗粒上沥青膜的剥落程度,并按表T0616-1评定其黏附性等级。

实训25沥青混合料马歇尔试件制作方法
一、目的与适用范围
1本方法适用于采用标准击实法或大型击实法制作沥青混合料马歇尔试件,以供试验室进行沥青混合料物理力学性质试验使用。
2标准击实法适用于标准马歇尔试验、间接抗拉试验(劈裂法)等所使用的φ101.6mm×63.5mm圆柱体试件的成型。大型击实法适用于大型马歇尔试验和φ152.4mmx95.3mm大型圆柱体试件的成型。
3沥青混合料试件制作时的条件及试件数量应符合下列规定:
(1)当集料公称最大粒径小于或等于26.5mm时,采用标准击实法。一组试件的数量不少于4个。
(2)当集料公称最大粒径大于26.5mm时,宜采用大型击实法。-组试件数量不少于6个。
二、仪具与材料技术要求
1.自动击实仪:击实仪应具有自动记数、控制仪表、按钮设置、复位及暂停等功能。按其用途分为以下两种:
(1)标准击实仪:由击实锤、φ98.5mm±0.5mm平圆形压实头及带手柄的导向棒组成。用机械将压实锤提升,至457.2mm±1.5mm高度沿导向棒自由落下连续击实,标准击实锤质量4536g±9g
(2)大型击实仪:由击实锤、φ149.4±0.1mm平圆形压实头及带手柄的导向棒组成。用机械将压实锤提升,至457.2mm±2.5mm高度沿导向棒自由落下击实,大型击实锤质量10210g±10g。
2.试验室用沥青混合料拌和机:能保证拌和温度并充分拌和均匀,可控制拌和时间,容量不小于10L,。搅拌叶自转速度70~80r/min,公转速度40~50r/min。
3.试模:由高碳钢或工具钢制成,几何尺寸如下:
(1)标准击实仪试模的内径为101.6mm±0.2mm,圆柱形金属筒高87mm,底座直径约120.6mm,套筒内径104.8mm、高70mm。
(2)大型击实仪的试模与套简尺寸:套筒外径165.1mm,内径155.6mm±0.3mm,总高83mm。试模内径152.4mm±0.2mm,总高115mm,底座152.4±0.2板厚12.7mm,直径172mm。
4.脱模器:电动或手动,应能无破损地推出圆柱体试件,备有标准试件及大型试件尺寸的推出环。
5.烘箱:大、中型各1台,应有温度调节器。
6.天平或电子秤:用于称量沥青的,感量不大于0.1g;用于称量矿料的,感量不大于0.5g
7.插刀或大螺丝刀。
8.温度计:分度值1℃。宜采用有金属插杆的插入式数显温度计,金属插杆的长度不小于150mm。量程0~300°C。.9其他:电炉或煤气炉、沥青熔化锅、拌和铲、标准筛、滤纸(或普通纸)、胶布、卡尺、秒表、粉笔、棉纱等。
三、准备工作
1.确定制作沥青混合料试件的拌和温度与压实温度。
(1)试件的拌和与压实温度可按表T0702-2选用,并根据沥青品种和标号作适当调整。针人度小、稠度大的沥青取高限;针入度大稠度小
(2)对改性沥青,应根据实践经验、改性剂的品种和用量,适当提高混合料的拌和和压实温度;对大部分聚合物改性沥青,通常在普通沥青的基础上提高10~20℃;掺加纤维时,尚需再提高10℃左右。

四、拌制沥青混合料
将加热的粗细集料置于拌和机中,用小铲子适当混合;然后加人需要数量的沥青(如沥青已称量在一专用容器内时,可在倒掉沥青后用一部分热矿粉将粘在容器壁上的沥青擦拭掉并一起倒人拌和锅中),开动拌和机一边搅拌边使拌和叶片插人混合料中拌和1~1.5min;暂停拌和,加入加热的矿粉,继续拌和至均匀为止,并使沥青混合料保持在要求的拌和温度范围内。标准的总拌和时间为3min。
五、成型方法
1.击实法的成型步骤如下:
(1)将拌好的沥青混合料,用小铲适当拌和均匀,称取个试件所需的用量(标准马歇尔试件约1200g,大型马歇尔试件约4050g)。当已知沥青混合料的密度时,可根据试件的标准尺寸计算并乘以1.03得到要求的混合料数量。当一次拌和几个试件时,宜将其倒人经预热的金属盘中,用小铲适当拌和均匀分成几份,分别取用。在试件制作过程中,为防止混合料温度下降,应连盘放在烘箱中保温。
(2)从烘箱中取出预热的试模及套筒,用蘸有少许黄油的棉纱擦拭套筒、底座及击实锤底面。将试模装在底座上,放一张圆形的吸油性小的纸,用小铲将混合料铲人试模中,用插刀或大螺丝刀沿周边插捣15次,中间捣10次。插捣后将沥青混合料表面整平。对大型击实法的试件,混合料分两次加入,每次插捣次数同上。
(3)插人温度计至混合料中心附近,检查混合料温度。
(4)待混合料温度符合要求的压实温度后,将试模连同底座-起放在击实台上固定。在装好的混合料上面垫一张吸油性小的圆纸,再将装有击实锤及导向棒的压实头放人试模中。开启电机,使击实锤从457mm的高度自由落下到击实规定的次数(75次或50次)。对大型试件,击实次数为75次(相应于标准击实的50次)或112次(相应于标准击实75次)。
(5)试件击实一面后,取下套筒,将试模翻面,装上套筒;然后以同样的方法和次数击实另一面。乳化沥青混合料试件在两面击实后,将组试件在室温下橫向放置24h;另-组试件置温度为105C±5℃的烘箱中养生24h。将养生试件取出后再立即两面锤击各25次。
(6)试件击实结束后,立即用镊子取掉上下面的纸,用卡尺量取试件离试模上口的高度并由此计算试件高度。高度不符合要求时,试件应作废,并按式(T0702-1)调整试件的混合料质量,以保证高度符合63.5mm±1.3mm(标准试件)或95.3mm±2.5mm(大型试件)的要求。
调整后混合料质量=要求试件高度x原用混合料质量/所得试件的高度
2.卸去套简和底座,将装有试件的试模横向放置冷却至室温后(不少于12h),置脱模机上脱出试件。用于本规程T0709现场马歇尔指标检验的试件,在施工质量检验过程中如急需试验,允许采用电风扇吹冷1h或浸水冷却3min以上的方法脱模;但浸水脱模法不能用于测量密度、空隙率等各项物理指标。
3.将试件仔细置于干燥洁净的平面上,供试验用。
实训26沥青混合料马歇尔稳定度试验
一、目的与适用范围
1.本方法适用于马歇尔稳定度试验和浸水马歇尔稳定度试验,以进行沥青混合料的配合比设计或沥青路面施工质量检验。浸水马歇尔稳定度试验(根据需要,也可进行真空饱水马歇尔试验)供检验沥青混合料受水损害时抵抗剥落的能力时使用,通过测试其水稳定性检验配合比设计的可行性。
2.本方法适用于按本规程T0702成型的标准马歇尔试件圆柱体和大型马歇尔试件圆柱体。
二、仪具与材料技术要求
1.沥青混合料马歇尔试验仪:分为自动式和手动式。自动马歇尔试验仪应具备控制装置、记录荷载一位移曲线、自动测定荷载与试件的垂直变形,能自动显示和存储或打印试验结果等功能。手动式由人工操作,试验数据通过操作者目测后读取数据。对用于高速公路和一-级公路的沥青混合料宜采用自动马歇尔试验仪。
(1)当集料公称最大粒径小于或等于26.5mm时,宜采用φ101.6mm×63.5mm的标准马歇尔试件,试验仪最大荷载不得小于25kN,读数准确至0.1kN,加载速率应能保持50mm/min±5mm/min。钢球直径16mm±0.05mm,上下压头曲率半径为50.8mm±0.08mm。
(2)当集料公称最大粒径大于26.5mm时,宜采用φ152.4mmx95.3mm大型马歇尔试
件,试验仪最大荷载不得小于50kN,读数准确至152.4+0.20.1kN。上下压头的曲率内径为φ152.4mm土0.2mm,上下压头间距19.05mm土+0.1mm。大型图T0709-1大型马歇尔试验的压头(尺寸单位:mm)
2.恒温水槽:控温准确至19C,深度不小于150mm。
3.真空饱水容器:包括真空泵及真空干燥器
4.烘箱。
5.天平:感量不大于0.1g。
6.温度计:分度值1°C。
7.卡尺。
8.其他:棉纱、黄油。
三、标准马歇尔试验方法
1.准备工作
(1)按T0702标准击实法成型马歇尔试件,标准马歇尔试件尺寸应符合直径101.6mm±0.2mm、高63.5mm±1.3mm的要求。对大型马歇尔试件,尺寸应符合直径152.4mm±0.2mm高95.3mm±2.5mm的要求。一组试件的数量不得少于4个。
(2)量测试件的直径及高度:用卡尺测量试件中部的直径,用马歇尔试件高度测定器或用卡尺在十字对称的4个方向量测离试件边缘10mm处的高度,准确至0.1mm,并以其平均值作为试件的高度。如试件高度不符合63.5mm±1.3mm或95.3mm±2.5mm要求或两侧高度差大于2mm,此试件应作废。
(3)按本规程规定的方法测定试件的密度,并计算空隙率沥青体积百分率、沥青饱和度、矿料间隙率等体积指标。
(4)将恒温水槽调节至要求的试验温度,对黏稠石油沥青或烘箱养生过的乳化沥青混合料为60℃±1℃。
2.试验步骤
(1)将试件置于已达规定温度的恒温水槽中保温,保温时间对标准马歇尔试件需30~40min,对大型马歇尔试件需45~60min。试件之间应有间隔,底下应垫起,距水槽底部不小于5cm。
(2)将马歇尔试验仪的上下压头放人水槽或烘箱中达到同样温度。将上下压头从水槽或烘箱中取出擦拭干净内面。为使上下压头滑动自如,可在下压头的导棒上涂少量黄油。再将试件取出置于下压头上,盖上上压头,然后装在加载设备上。
(3)在上压头的球座上放妥钢球,并对准荷载测定装置的压头。
(4)当采用自动马歇尔试验仪时,将自动马歇尔试验仪的压力传感器、位移传感器与计算机或X-Y记录仪正确连接,调整好适宜的放大比例,压力和位移传感器调零。
(5)当采用压力环和流值计时,将流值计安装在导棒上,使导向套管轻轻地压住上压头,同时将流值计读数调零。调整压力环中百分表,对零。
(6)启动加载设备,使试件承受荷载,加载速度为50mm/min±5mn/min。计算机或X-Y记录仪自动记录传感器压力和试件变形曲线并将数据自动存入计算机。
(7)当试验荷载达到最大值的瞬间,取下流值计,同时读取压力环中百分表读数及流值计的流值读数。
(8)从恒温水槽中取出试件至测出最大荷载值的时间,不得超过30s。
四、浸水马歇尔试验方法
浸水马歇尔试验方法与标准马歇尔试验方法的不同之处在于,试件在已达规定温度恒温水槽中的保温时间为48h,其余步骤均与标准马歇尔试验方法相同。
五、真空饱水马歇尔试验方法
试件先放人真空干燥器中,关闭进水胶管,开动真空泵,使干燥器的真空度达到97.3kPa(730mmHg)以上,维持15min;然后打开进水胶管,靠负压进人冷水流使试件全部浸入水中,浸水15min后恢复常压,取出试件再放人已达规定温度的恒温水槽中保温48h。其余均与标准马歇尔试验方法相同。
六、计算
1.试件的稳定度及流值
当采用自动马歇尔试验仪时,将计算机采集的数据绘制成压力和试件变形曲线,或由X-Y记录仪自动记录的荷载一变形曲线,按图T0709-2所示的方法在切线方向延长曲线与横坐标相交于01,将0,作为修正原点,从0起量取相应于荷载最大值时的变形作为流值(FL),以mm计,准确至0.1mm。最大荷载即为稳定度(MS),以kN计,准确至0.01kN。
七、报告
1.当一组测定值中某个测定值与平均值之差大于标准差的h倍时,该测定值应予舍弃,并以其余测定值的平均值作为试验结果。当试件数目n为3、4、5、6个时,h值分别为1.15、1.46、1.67、1.82。
2.报告中需列出马歇尔稳定度、流值、马歇尔模数,以及试件尺寸、密度、空隙率、沥青用量、沥青体积百分率、沥青饱和度、矿料间隙率等各项物理指标。当采用自动马歇尔试验时,试验结果应附上荷载一变形曲线原件或自动打印结果。
实训27沥青混合料理论最大相对密度试验(真空法)
一、目的与适用范围
1本方法适用于采用真空法测定沥青混合料理论最大相对密度,供沥青混合料配合比设计、路况调查或路面施工质量管理计算空隙率、压实度等使用。
2本方法不适用于吸水率大于3%的多孔性集料的沥青混合料。
二、仪具与材料技术要求
1天平:称量5kg以上,感量不大于0.1g;称量2kg以下,感量不大于0.05g。
2负压容器:根据试样数量选用表T0711-1中的A、B、C任何一种类型。负压容器口带橡皮塞,上接橡胶管,管口下方有滤网,防止细料部分吸入胶管。为便于抽真空时观察气泡情况,负压容器至少有一面透明或者采用透明的密封盖。
表T0711-1负压容器类型
类型 |
容器 |
附属设备 |
A |
耐压玻璃,塑料或金属制的罐,容积大于2000mL |
有密封盖,接真空胶管,分别与真空装置和压力表连接 |
B |
容积大于2000mL的真空容量瓶 |
带胶皮塞,接真空胶管,分别与真空装置和压力表连接 |
C |
4000mL耐压真空器皿或干燥器 |
带胶皮塞,接真空胶管,分别与真空装置和压力表连接 |
3真空负压装置:由真空泵、真空表、调压装置、压力表及干燥或积水装置等组成。
(1)真空泵应使负压容器内产生3.7kPa±0.3kPa(27.5mmHg±2.5mmHg)负压;真空表分度值不得大于2kPa。
(2)调压装置应具备过压调节功能,以保持负压容器的负压稳定在要求范围内,同吋还应具有卸除真空压力的功能。
(3)压力表应经过标定,能够测定0~4kKa(0~30mmHg)负压。当采用水银压力表时分度值1mmHg,示值误差为2mmHg;非水银压力表分度值0.1kPa,示值误差为0.2kPa。压力表不得直接与真空装置连接,应单独与负压容器相接。
(4)采用干燥或积水装置主要是为了防止负压容器内的水分进入真空泵内。
4振动装置:试验过程中根据需要可以开启或关闭。
5恒温水槽:水温控制25±0.5℃。
6温度计:分度值0.5℃。
7其他:玻璃板、平底盘、铲子等。
三、方法与步骤
1准备工作
(1)按以下几种方法获取沥青混合料试样,试样数量宜不少于表T0711-2的规定数量。
表T0711-2沥青混合料试样数量
公称最大粒径(mm) |
试样最小质量(g) |
公称最大粒径(mm) |
试样最小质量(g) |
4.75 |
500 |
26.5 |
2500 |
9.5 |
1000 |
31.5 |
3000 |
13.2、16 |
1500 |
37.5 |
3500 |
19 |
2000 |
1)按照T0702的方法拌制沥青混合料,分别拌制两个平行试样,放置于平底盘中。
2)按照T0701沥青混合料取样方法从拌和楼、运料车或者摊铺现场取样,趁热缩分成两个平行试样,分别放置于平底盘中。
3)从沥青路面上钻芯取样或切割的试样,或者其他来源的冷沥青混合料,应置125±5℃烘箱中加热至变软、松散后,然后缩分成两个平行试样,分别放置于平底盘中。
(2)将平底盘中的热沥青混合料,在室温中冷却或者用电风扇吹,一边冷却一边将沥青混合料团块仔细分散,粗集料不破碎,细集料团块分散到小于6.4mm。若混合料坚硬时可用烘箱适当加热后再分散,加热温度不超过60℃。分散试样时可用铲子翻动、分散,在温度较低时应用手掰开,不得用锤打碎,防止集料破碎。当试样是从施工现场采取的非干燥混合料时,应用电风扇吹干至恒重后再操作。
(3)负压容器标定方法:
1)采用A类容器时,将容器全部浸入25±0.5℃的恒温水槽中,负压容器完全浸没、恒温10min±1min后,称取容器的水中质量m1。
2)B、C类负压容器:
⑴大端口的负压容器,需要有大于负压容器端口的玻璃板。将负压容器和玻璃板放进水槽中,注意轻轻摇动负压容器使容器内气泡排除。恒温10min±1min,取出负压容器和玻璃板,向负压容器内加满25±0.5℃水至液面稍微溢出,用玻璃板先盖住容器端口1/3,然后慢慢沿容器端口水平方向移动盖住整个端口,注意査看有没有气泡。擦除负压容器四周的水,称取盛满水的负压容器质量为mb。
⑵小口的负压容器,需要采用中间带垂直孔的塞子,其下部为凹槽,以便于空气从孔中排除。将负压容器和塞子放进水槽中,注意轻轻摇动负压容器使容器内气泡排除。恒温10min±1min,在水中将瓶塞塞进瓶口,使多余的水由瓶塞上的孔中挤出。取出负压容器,将负压容器用干净软布将瓶塞顶部擦拭一次,再迅速擦除负压容器外面的水分,最后称其质量mb。
(4)将负压容器干燥、编号,称取其干燥质量。
2试验步骤
(1)将沥青混合料试样装入干燥的负压容器中,称容器及沥青混合料总质量,得到试样的净质量ma。试样质量应不小于上述规定的最小数量。
(2)在负压容器中注入25±0.5℃的水,将混合料全部浸没,并较混合料顶面高出约2mm。
(3)将负压容器放到试验仪上,与真空泵、压力表等连接,开动真空泵,使负压容器内负压在2min内达到3.7±0.3kPa(27.5±2.5mmHg)时,开始计时,同时开动振动装置和抽真空,持续15±2min。
为使气泡容易除去,试验前可在水中加0.01%浓度的表面活性剂(每100mL水中加0.01g洗涤灵)。
(4)当抽真空结束后,关闭真空装置和振动装置,打开调压阀慢慢卸压,卸压速度不得大于8kPa/s(通过真空表读数控制),使负压容器内压力逐渐恢复。
(5)当负压容器采用八类容器时,将盛试样的容器浸人保温至25±0.5℃的恒温水槽中,恒温10min±1min后,称取负压容器与沥青混合料的水中质量(m2)。
(6)当负压容器采用B、C类容器时,将装有沥青混合料试样的容器浸入保温至25±0.5℃的恒温水槽中,恒温10min±1min后,注意容器中不得有气泡,擦净容器外的水分,称取容器、水和沥青混合料试样的总质量(mc)。
四、计算
1采用A类容器时,沥青混合料的理论最大相对密度按式(T0711-1)计算。
γt= |
ma |
(T0711-1) |
ma-(m2-m1) |
式中:γt——沥青混合料理论最大相对密度;
ma——干燥沥青混合料试样的空中质量(g);
m1——负压容器在25℃水中的质量(g);
m2——负压容器与沥青混合料在25℃水中的质量(g)
2采用B、C类容器作负压容器时,沥青混合料的理论最大相对密度按式(T0711-2)计算。
γt= |
ma |
(T0711-2) |
ma+mb-mc |
式中:mb——装满25℃水的负压容器质量(g);
mc——25℃时试样、水与负压容器的总质量(g)。
3沥青混合料25℃时的理论最大密度按式(T0711-3)计算。
ρt=γt×ρw(T0707-4)
式中:ρt——沥青混合料的理论最大密度(g/cm3);
ρw——25℃时水的密度,0.9971g/cm3。
五、修正试验
1需要进行修正试验的情况
(1)对现场钻取芯样或切割后的试件,粗集料有破碎情况,破碎面没有裹覆沥青。
(2)沥青与集料拌和不均匀,部分集料没有完全裹覆沥青。
2修正试验方法
(1)完成3.2.5后,将负压容器静置一段时间使混合料沉淀后,使容器慢慢倾斜,使容器内水通过0.075mm筛滤掉。
(2)将残留部分水的沥青混合料细心倒入一个平底盘中,然后用适当水涮容器和0.075mm筛网,并将其也倒入平底盘中,重复几次直到无残留混合料。
(3)静置一段时间后,稍微提高平底盘一端,使试样中部分水倒出平底盘,并用吸耳球慢慢吸去水。
(4)将试样在平底盘中尽量摊开,用吹风机或电风扇吹干,并不断翻拌试样。每15min称量一次,当两次质量相差小于0.05%时,认为达到表干状态,称取质量为表干质量,用表干质量代替ma重新计算。
六、报告
同一试样至少平行试验两次,计箅平均值作为试验结果,取3位小数。采用修正试验时需要在报告中注明。
七、允许误差
重复性试验的允许误差为0.011g/cm3,再现性试验的允许误差为0.019g/cm3。
实训28水泥砂浆拌和及稠度试验方法
一、目的、适用范围和引用标准
本方法规定了水泥砂浆拌和及稠度的试验方法。本方法适用于水泥砂浆及指定采用本方法的其他材料,稠度试验适用于稠度小于120mm的砂浆。引用标准:《公路工程集料试验规程》(JTGE42)《试验用砂浆搅拌机》(JG/T3033)
二、仪具与材料
1.砂浆搅拌机:应符合现行《试验用砂浆搅拌机》(JG/T3033)的规定。
2.砂浆稠度仪:由试锥、圆锥筒和支座三部分组成,如图T0587-1所示。试锥高度为145mm、锥底直径为75mm,试锥连同滑杆的质量应为300g±2g;圆锥筒为钢板制成的密闭圆锥,筒高为180mm,锥筒上口内径为150mm,体积约为1060mL;支座分底座、支架及刻度盘三个部分,由铸铁、钢及其他金属制成。2.3钢制捣棒:直径为10mm、长为350mm,端部为半球形。2.4秒表等辅助工具。
图T0587-1砂浆稠度仪示意图1-支架;2-齿条测杆;3-指针;4-刻度盘;5-滑杆;6-固定螺钉;7-圆锥体;8-圆锥筒;9-底座
三、试验准备
1.试验室内温度应控制在20℃±5℃,相对湿度不小于50%。砂浆拌和用原材料应放置试验室内至少24h。
2.砂应过9.5mm的方孔筛,4.75mm筛上分计筛余不超过10%,且砂料应翻拌均匀;水泥及掺合料不允许有结块,使用前应用0.9mm过筛。
3.砂料应为干燥状态,含水率不超过0.2%,含水率按现行《公路工程集料试验规程》(JTGE42)的规定进行测定。
4.材料用量以质量计。称量精度:水泥及掺合料、水和外加剂为±0.5%;砂为±1%。
四、砂浆拌和
1.将砂浆搅拌锅清洗干净,并保持锅内润湿;按照配合比,先拌制不少于30%容量同配比砂浆,使搅拌机内壁挂浆,将剩余料卸出。
2.将称好的砂料、水、水泥及外掺料等依次倒入机内,立即开动搅拌机,搅拌时间不应少于120s。掺有掺合料和外加剂的砂浆,其搅拌时间不应少于180s。一次拌和量不宜少于搅拌机容量的30%,不宜大于搅拌机容量的70%。
五、试验步骤
1.应按本方法四制备砂浆。
2.将圆锥筒和试锥表面用湿布擦干净,并用少量润滑油轻擦滑杆,然后将滑杆上多余的油用吸油纸擦净,使滑杆能自由滑动。
3.将砂浆拌合物一次装入圆锥筒,使砂浆表面低于圆锥筒口约10mm左右,用捣棒自圆锥筒中心向边缘插捣25次,然后用木锤在圆锥筒周围距离大致相等的四个不同部位轻轻敲击5~6次,使砂浆表面平整,随后将圆锥筒置于砂浆稠度仪的底座上。
4.调节试锥滑杆的固定螺栓,缓慢向下移动滑杆,当试锥尖端与砂浆表面刚接触时,拧紧固定螺丝,使齿条测杆下端刚接触滑杆上端,读出刻度盘上的读数H0(精确至1mm)。
5.拧开固定螺栓,同时计时,10s后立即拧紧固定螺丝,将齿条测杆下端接触滑杆上端,从刻度盘上读数H1、H0和H1的差值,即为砂浆的稠度值,精确至1mm。
6.圆锥筒内的砂浆只允许测定一次稠度,重复测定时,应重新取样。
六、结果处理
以两次平行试验测值的算术平均值作为试验结果,精确至1mm;如两次测值之差大于10mm,则重新试验。
实训29水泥砂浆分层度试验方法
一、目的、适用范围和引用标准
本方法规定了水泥砂浆分层度的试验方法。本方法适用于测定水泥砂浆及指定采用本方法测定的其他材料。引用标准:水泥砂浆拌和及稠度试验方法(T0587)《混凝土试验用振动台》(JG/T245)
二、仪具与材料
1.砂浆分层度筒:内径为150mm±1mm,上节净高为200mm,下节带底净高为100mm,用金属板制成,上、下层连接处需加宽到3~5mm,并设有密封橡胶热圈(图T0588-1)。
2.振动台:应符合现行《混凝土试验用振动台》(JG/T245)的规定。2.3砂浆稠度仪、木锤等工具。
三、试验步骤
1.应按T0587的规定进行砂浆制备和稠度测定,砂浆稠度记为S1,精确至1mm。
2.将砂浆拌合物一次装入分层度筒内,待装满后,用木锤在容器周围距离大致相等的四个不同部位轻轻敲击1~2下,如砂浆沉落到低于筒口,则应随时添加,然后刮去多余的砂浆并用抹刀抹平,同时开始计时。
3.静置30min后,用上节200mm砂浆放入砂浆搅拌机内搅拌1min刮浆后废掉,随即将剩余的100mm砂浆倒出放在拌和锅内拌和2min,再按T0587的规定,搅拌砂浆并测试稠度,记为S2,精确至1mm。
实训30砂浆抗压强度试验
一、试验目的
是对砂浆的强度检验,也是对砂浆标号的确定,及对施工砂浆的质量检验。
本试验采用立方体试件,以同一龄期为一组,每组至少为三个同时制作并同时养护的砂浆试件。
二、抗压试件尺寸70.7×70.7×70.7(mm)。
三、主要仪器设备
压力试验机、振动台、试模、捣棒、拌板、铁锹等。
四、试件的制作
1.每一组试件所用的砂浆拌合物应由同一次拌和成的拌和物中取出。
2.制作前,应将试模洗干净并将试模的内表面涂一层矿物油脂。
3.捣实试件
(1)砂浆拌合物应分两层装入试模,每次装料厚度基本相等。
(2)插捣按螺旋方向进行,捣棒应贯穿上层后插入下层20—30mm。
五、试件的养护
1.采用标准养护的试件成型后应用不透水的薄膜覆盖表面,以防止水分蒸发,并应在温度为20±5℃情况下静止一昼夜,然后编号拆摸。
2.拆模后的试样应立即放在温度为20±2℃,湿度为90%以上的标准养护室中养护
3.在标准养护室内试件应放在架上,彼此间隔为10~20mm,并应避免用水直接冲淋试件。
4.无标准养护室时,混凝土试件可在温度在20±2℃的不流动水中养护。水的ph值不应小于7。
5.与构件同条件养护的试件成型后,应覆盖表面。试件的拆模时间可于实际构件的拆模时间相同。拆模后,试件仍需保持同条件养护。
6.标准养护龄期为28d(从搅拌加水开始计时)。
六、抗压强度试验
1.试件从养护室取出后,随即搽干并量出其尺寸(精确至1mm)进而计算试件的受压面积A(mm2)。
2.将试件安放在下承压板上,试件的承压面应与试件成型时的顶面垂直。试件中心应与试验机下压板中心对准,开动试验机,当上压板与试件接近时,调整球坐,使接触均衡。
3.加压时,应连续均匀的加荷,当试件接近破坏而开始讯速变形时,停止调整试验机油门,直至试件破坏。记录破坏荷载F(N)。
七、试验结果整理
1.砂浆试件抗压强度结果计算,(MPa)

式中fcu---抗压强度(MPa)F---破坏荷载(N)A---受压面积(mm2)
2.强度值的确定应符合下列规定:
(1)取三个试件测定值的算术平均值作为砂浆抗压强度的测定结果。
(2)如果三个则定值中的最小值或最大值中有一个与中间值的差异超过中间值的15%,则把最大及最小值一并舍去,取中间值作为该组试件的抗压强度值。
(3)如最大和最小值与中间值相差均超过15%,则此组试件作废。
压实度试验
一、试验目的
检验路基、路面压实度是否达到了规定的要求。
二、压实度测定的方法及适用范围:
测定方法:灌砂法。
适用范围:适用于现场测定基层、砂石路面及路基土各种材料压实层的压实度。
三、仪器设备:
灌砂筒(大、小)、金属标定罐、基板、玻璃板、试样盘、天平或台秤、含水率测定器具:如铝盒、烘箱等、量砂(标准砂)、盛砂的容器:塑料桶、凿子、改锥、铁锤、长把勺、长把小簸箕、毛刷等。
四、仪器的标定
1、锥砂质量标定
(1)在储砂筒筒口高度上,向灌砂筒内装砂至距筒顶15mm左右为止,称取简内秒的质量m1,准确至1g,以后每次标定及试验都应维持装砂高度与质最不变。
(2)将开关打开,让砂自由流出,并使流出的砂的体积与工地所挖试洞的体积相当(或等于标定灌的体积),然后关上开关,并称量筒内砂的质量m2,准确至1g。
(3)不晃动储砂筒的砂,轻轻地将灌砂筒放在玻璃板上,将开关打开,让砂流出。直到储砂简内砂不再下流时,将开关关上并细心地取走灌砂筒。
(4)收集并称量留在玻璃上的砂或称量筒内的砂,准确到1g,玻璃板上的砂就是填满灌砂筒下部圆锥体的砂。
(5)重复土述测量,至少3次。最后取其平均值,准确至1g。
2、确定量砂的密度ρs
(1)用水确定标定罐的容积V(cm3)准确至1mL。将空罐放在台秤上,使罐的上口处于水平位置,读记罐质量m3,准确至1g。向标定罐中灌水,注意不要将水弄到台秤上或罐的外壁。将一直尺放在罐顶,当罐中水面快要接近直尺时,用滴管往罐中加水,直到水面接触直尺。移去直尺,读记罐和水的总质量m4。重复测量时,仅需用吸管从罐中取出少量水,并用滴管重新将水加满到接触直尺。标定罐的体积按下式计算:
V=m3-m4
(2)在储砂筒中装入质量为m1的砂,将灌砂筒放在标定罐上,将开关打开,让砂流出(在整个流砂过程中,不要碰动灌砂筒)。直到储砂筒的砂不再下流时,将开关关闭。拿下灌砂筒,称量筒内余砂的质量,准确至1g。
(3)由下式计算填满标定罐所需砂的质量ma(g):
ma=m1-m5-m6
式中m1--灌砂入标定罐前,筒内砂的质量(g);
m5--灌砂筒下部圆锥体内砂的平均质量(g);
m6--灌砂入标定罐后,筒内剩余砂的质量(g)。
(4)重复上述测量,至少3次。最后取其平均ma,准确至1g。
(5)用下式计算砂的密度:

V--标定罐的体积(cm3);
ma--标定罐所装砂的质量(g)。
五、操作步骤
1、在测试地点,选一块约40cm×40cm的平坦表面,并将其清扫干净。
2、将基板放在平坦表面上,当表面的粗糙度较大时,则将盛有量砂m5的灌砂筒放在基板中间的圆孔上,将灌砂筒的开关打开,让砂流入基板的中孔内,直到储砂筒内的砂不再下流时关闭开关。取下灌砂筒,并称量筒内砂的质量m6,准确至1g。
3、取走基板,表面清扫干净。
4、将基板放回清扫干净的表面上沿基板中孔凿洞,将洞内的全部凿松材料取出。称取材料的质量。全部取出材料的总质量为mw准确至1g。
5、从挖出的全部材料中取出有代表性的样品,测定其含水量(ω,以%计)。
6、将基板安放在试坑上,将灌砂筒安放在基板中间(储砂筒内放满砂到要求质量m1),使灌砂筒的下口对准基板的中孔及试洞,打开灌砂筒的开关,让砂流入试坑内。在此期间,应注意勿碰动灌砂筒。直到储砂筒内的砂不再往下流时,关闭开关,仔细取走灌砂筒,并称量筒内剩余砂的质量m4准确至1g。
7、如清扫干净的平坦表面粗糙度不大,可省去⑵和⑶的操作。在试洞挖好后,将灌砂筒直接对准放在试坑上,中间不需要放基板,打开筒的开关,让砂流入试坑内。在此期间,应注意勿碰动灌砂筒。直到储砂筒内的砂不再往下流时,关闭开关,仔细取走灌砂筒,并称量剩余砂的质量,准确至1g。
8、仔细取出试筒内的量砂,以备下次试验时再用。若量砂的湿度已发生变化或量砂中混有杂质,则应该重新烘干,过筛,并放置一段时间,使其与空气的湿度达到平衡后再用。
六、试验结果整理

压实度
七、报告与记录

八、操作注意事项
1、量砂要经常标定,灌砂筒内的量砂在重复使用时应烘干,处理一致,否则影响量砂的松方密度。若更换量砂,必须重测其堆积密度。
2、在进行标定罐容积标定时,罐外的水一定擦干。
3、在标定和现场灌砂过程中,应使灌砂筒呈自然状态,不要晃动灌砂筒。
4、地表面处理要平,只要表面凸出一点,就会使整个表面高出一薄层,其体积便会算到试坑中。
5、在挖坑时,试坑周壁应笔直,避免出现上大下小或上小下大的情形,并且不得使凿出的试样丢失,以免检测密度偏大或偏小。
平整度试验
一、目的与适用范围:
测定平整度,评定路基路面施工质量
二、仪器设备
1、三米直尺:测量基准面长度为3m,基准面应平直,用铝合金钢等材料制成。
2、最大间隙测量器具:
楔形塞尺:硬木或金属制的三角形塞尺,有手柄。塞尺的长度与高度之比不小于10,宽度不大于15mm,边部有高度标记,分度值不大于0.5mm。
三、试验步骤
1、准备工作
1)确定检测点数。
2)合理选择测试地点
当为施工过程中质量检测需要时,测试地点根据需要确定,可以单杆检测;当为路基、路面工程质量检查验收或进行路况评定需要时,应首尾相接连续测量10尺。位置:在车行道轮迹带上,距车道线0.8~1.0m处,沿路方向排尺测量。
2、测试步骤:
1)将三米直尺摆在测试位置的路面上。
2)目测三米直尺底面与路面之间的间隙情况,确定间隙为最大的位置。
3)用有高度标线的塞尺塞进最大间隙处,量记其高度h(mm),准确至0.2mm。
四、结果整理
连续测试10尺时,判断每尺最大间隙(δ)是否合格,并计算合格率,以及10个最大间隙的平均值。
合格率(%)=合格尺数/总测尺数×100%
EDTA滴定试验
一、目的与适用范围:
1.本方法适用于在工地快速测定水泥和石灰稳定材料中水泥和石灰的剂量,并可用于检查现场拌和和摊铺的均匀性。
2.本办法适用于在水泥终凝之前的水泥含量测定,现场土样的石灰剂量应在路拌后尽快测试,否则需要用相应龄期的EDTA二钠标准溶液消耗量的标准曲线确定。
3.本方法也可以用来测定水泥和石灰综合稳定材料中结合料的剂量。
二、仪器设备
1、滴定管(酸式)50mL,1支。
2、滴定台,1个。
3、滴定管夹,1个。
4、大肚移液管:10mL,10支。
5、锥形瓶(即三角瓶):200mL,20个。
6、烧杯:2000mL(或1000mL),1只;300mL,10只。
7、容量瓶:1000mL,1个。
8、搪瓷杯:容量大于1200mL,10只。干风的对
9、不锈钢棒(或粗玻璃棒),10根。
10、量筒:100mL和50mL,各1只;50mL,2只。
11、棕色广口瓶:60mL,1只(装钙红)。
12、托盘天平:称量500g、感量0.5g和称量100g、感量0.1g,各一台。
13、其他辅助设备。
三、试验用试剂
1、0.1mol/m3乙二胺四乙酸二钠(简称EDTA二钠)标准液。配制方法:准确称取EDTA二钠(分析纯)37.226g,用微热的蒸馏水溶解,待全部溶解并冷却至室温后,定容至1000ml
2、10%氯化铵(NH4Cl)溶液。配制方法:准确称取500g氯化铵(分析纯)放在10L的聚乙烯桶内,加蒸馏水4500mL,充分振荡,使氯化铵完全溶解。
3、1.8%氢氧化钠内含三乙醇胺溶液。配制方法:准确称取18g氢氧化钠(NaOH)(分析纯)放入洁净干燥的1000mL蒸馏水使其全部溶解,待溶液冷至室温后,加入2ml三乙醇胺(分析纯),搅拌均匀后储于塑料桶中。
4、钙红指示剂:将0.2g钙试剂羟酸钠(分子式C21H13N2NaO7S,分子量460.39)与20g预先在105℃烘箱中烘1h的硫酸钾混合。一起放入研钵中,研成极细粉末,储于棕色广口瓶中,以防吸潮。
四、试验步骤
1、选取有代表性的水泥土或石灰土混合料,对稳定中、粗粒土取试样约3000g,对稳定细粒土取试样约1000g。
2、加氯化铵
对水泥或石灰稳定细粒土,称300g放在搪瓷杯中,加10%氯化铵溶液600mL;用搅拌棒将结块搅散,搅拌3min(每分钟搅110-120次);放置沉淀l0min然后将上部清液转移到300mL烧杯内,搅匀,加盖表面皿待测。
3、加氢氧化钠
用移液管吸取上层(液面上1~2cm)悬浮液10.0mL放入200mL的三角瓶内,用量管量取1.8%氢氧化钠(内含三乙醇胺)溶液50mL倒入三角瓶中,此时溶液pH值为12.5~13.0(可用PH12~14精密试纸检验)。
4.加钙红指示剂
然后加入钙红指示剂(质量约为0.2g,约黄豆大小),摇匀,溶液呈玫瑰红色。
5、EDTA二钠标准溶液滴定:
加入EDTA,计数为V1,边滴定边摇匀,并仔细观察溶液的颜色;在溶液颜色变为紫色时,放慢滴定速度,并摇匀;直到纯蓝色为终点。
6、记录滴定管中EDTA二钠标准溶液
体积V2(以mL计,读至0.lmL)。EDTA二钠标准溶液消耗量=V1-V2
7.确定灰剂量:
利用所绘制的标准曲线,根据EDTA二钠标准溶液消耗量,确定混合料中的水泥或石灰剂量。

五、结果整理
本试验应进行两次平行测定,取算术平均值,精确至0.lmL。允许重复性误差不得大于均值的5%,否则,重新进行试验。
六、注意事项
1、现场样品应在摊铺后尽快取样。对于水泥稳定材料超过终凝时间所测定的水泥剂量,需做相应的龄期修正。(约:初凝45min,终凝10h)
2、由于氯化铵的瓶装一瓶为500g,在使用过程中氯化铵必须用电子秤称量,不可用一瓶当500g。瓶装蒸馏水也是一桶4500ml,在使用过程中必须重新过量筒。
3、控制好滴定的各环节。EDTA滴定过程中,溶液的颜色有明显的变化过程,从玫瑰红色变为紫色,并最终变为蓝色。因此,要把握好滴定的临界点,切不可直接将溶液滴定到纯蓝色,因为在滴定过量时,溶液的颜色始终为纯蓝色,因此,没有经过临界点的,可能已经过量很多。
4、在试验过程中,每个样品搅拌的时间、速度、和方式应力求相同,以减小试验误差。
实验一含水率(量)实验
一、概述
土的含水量是试样在105~110℃下烘至恒量时所失去的水质量和干土质量的比值,用百分比表示。含水量是土的基本物理性质指标之一,它是计算土的干密度、孔隙比、饱和度等的必要指标,亦是检测土工构筑物施工质量的重要指标。
目前国内外测定含水量的方法有多种。但能确保质量,操作简便又能符合含水量定义的试验方法仍以烘干法为主。故本实验仅介绍这一方法。
本试验方法适用于粘性土、砂性土和有机质土类。
实验性质:验证型基本实验。
二、仪器设备:
(1)烘箱:可采用电热烘箱温度能保持105~110℃的其它能源烘箱,也可用红外线烘箱。
(2)天平:感量0.01g。
(3)其它:干燥器、称量盒[为简化计算手续,可将盒重定期(3~6个月)调整为恒重值等。
三、操作步骤:
(1)取具有代表性试样,粘性土为15~20g,砂性土、有机质土为50g,放入称量盒内。盖上盒盖,称湿土质量,精确至0.01g。
(2)打开盒盖,将盒置于烘箱内,在105~110℃的恒温下烘干。烘干时间对粘性土不得少于8h,对砂性土不得少于6h。对含有机质超过5%的土,应将温度控制在65~70℃的恒温下烘干。
(3)将称量盒从烘箱中取出,盖上盒盖,放入干燥容器内冷却至室温,称干土质量,精确至0.01g。
四、成果整理:
(1)试样的含水量,应按下式计算,精确至0.1%。

(2)含水量实验应进行两次平行测定,两次测定的差值,当含水量小于40%时不得大于1%;当含水量等于、大于40%时不得大于2%。取两次测值的平均值。
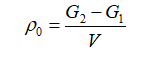
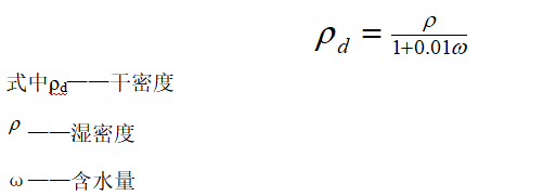
实验二密度实验
一、概述:
土的单位体积质量称为土的密度。在天然含水量情况下的密度称为天然密度。测定密度的目的是为了了解土体内部结构的密实情况。工程中需要以容重值表示时,将实测密度值乘以换算系数即可。
测定土的密度的方法有很多,主要有环刀法、蜡封法、灌水法、灌砂法等,它们适用于不同的土质情况。环刀法适用于粘性土,是最常用的实验方法;蜡封法适用于易破裂和形状不规则的坚硬土;灌水法和灌砂法适用于现场测定原状砂和砾质土的密度;本实验主要介绍环刀法。
试验性质:验证型基本实验。
二、仪器设备:
(1)环刀:内径为61.8±0.15mm和79.8±0.15mm,高度为20±0.016mm。
(2)天平:称量500g,感量0.1g;称量200g,感量0.01g。
(3)其他:修土刀、钢丝锯、凡士林等。
三、操作步骤:
(1)按工程需要取原状或制配所需状态的扰动土,整平两端,将环刀内壁涂一薄层凡士林,刀口向下放在土样上。
(2)用修土刀(或钢丝锯)将土样上部削成略大于环刀直径的土柱,然后将环刀垂直下压,边压边削至土样伸出环刀上部为止。削去两端余土,使与环刀口面齐平,并用剩余土样测定含水量。
(3)擦净环刀外壁,称环刀与土和质量m1,准确至0.1g。
(4)本实验须进行二次平行测定,其平行差值不得大于0.03g/cm3。求其算术平均值。
按下列公式计算湿密度和干密度

实验三液限、塑限实验
一、概述:
由于含水量不同,土体分别处于流动状态、可塑状态、半固体状态、固体状态。流动状态和可塑状态的分界含水量称为土的液限,可塑状态和半固体状态的分界含水量称为土的塑限。
本实验的目的是测定土的液限和塑限,为划分土类,计算天然稠度、塑性指度、液性指数,供工程设计和施工之用。
本实验适用于粒径小于0.5mm、有机质含量小于5%的土。
实验性质:验证型基本实验。
二、液限实验:
1、基本原理:
从理论上讲,液限是粘性土从可塑状态转变为流动状态时的界限含水量,也可以说是土体的抗剪强度“由有到无”(即意味着抗剪强度趋于最低点,但根据实践说明,从实验成果来看,土的含水量虽已达液限,而土还具有一定的抗剪强度)的分界点。
如在试验时,当其他条件不变,仅改变含水量,则圆锥的入土深度必将随着土样中的含水量的增加而增加,而土的抗剪强度必是随着土样中的含水量的增加减小,经多次进行无侧限抗压强度和圆锥仪的对比试验中发现当圆锥的入土深度达10毫米时,土样的抗剪强度具有很小值。因此,在工程上取圆锥的入土深度h=10毫米时,土样的含水量作为液限。
2、仪器设备:
重为76克(交通部土工试验规程用100克重的圆锥仪)的手提式或者电子自动液限仪;秒表;铝盒;调土刀;磁碗;吸管;毛玻璃板;吹风机;孔径为0.5mm的标准筛;研钵;凡士林等。
3、操作步骤:
(1)土样制备,应尽可能采用天然含水量的土样进行测定,如为风干土时,应预先进行研碎并过0.5毫米筛,而后喷洒适量的水拌和后放在有盖玻璃瓶中润湿静置24小时。
(2)取有代表性的天然含水量土样约180克,放入磁碗中,加蒸馏水或清水用调土刀调成均匀浓浆糊状。
(3)将调置好的土样用刮土刀分层装入底面垫以玻璃片的试环中(填装时勿使土内留有孔隙),直至装满,而刮去多余的土,使土面与环口齐平(刮除余土时,不得用刀在土面上反复涂抹),然后将盛满土的试环连同底部的玻璃片一同拿起,检查底部有无孔隙。
(4)将圆锥仪的锥尖竖立在橡皮块上(切勿竖立在玻璃片上,以防锥尖变秃),以前测检查是否在平衡环的正中央并保持垂直状态。
(5)用布擦净圆锥仪、并在锥体部分以手指涂一薄层凡士林或润滑油。
手提式以两指提起圆锥仪手柄,对准试样表面中部,当锥尖与试样表面接触时,松开手指,使锥体在自重作用沉入土中。
使用电子自动液限仪,首先打开电源,将圆锥仪吸附于液限仪顶部的电磁铁上,再调整升降螺杆,使锥尖与土样表面接触,然后关掉电源,使锥体在自重作用下沉入土中。
(6)在松开手指或关掉电源的同时,打开秒表经15秒钟。读取圆锥入土深度的读数。圆锥入土深度的测读标准,应为土面接触线至锥尖的垂直距离。而在锥体入土后的土体表面根据不同土质有下列三种情况,对于一般粘性土,土体表面仍保持平面(图a),对于低塑性土锥体周围的土面下凹(图b);如果土的塑性极高,则锥体周围土有隆起现象(图c),它们入土的深度h的测读标准见图示。

锥体沉入土中的几种情况
(7)如锥体在15秒钟时的入土深度大于或小于10毫米时,则表示试样的含水量高于或低于液限,必须重新试验。这时先用调土刀将锥体沉入处土样挖去(因有凡士林),而后将全部试样挖出放入磁碗中,如含水量过高,则放在红外线烘箱中适当烘烤或用电吹风吹干,减少含水量,含水量小时加适量清水后再行调拌,重复5、6步骤直至15秒钟锥体下沉深度刚好是10毫米为止。
(8)将所测得的合格的试样挖去沾有凡士林的那部分土,取试环中央的土约15克,放入盒中(约
铝盒),盖好盒盖秤重(准确至0.01克),而后在105℃下烘干至恒重冷却后称得其干土重。
4、成果整理:
(1)液限计算,计算至0.1%。

(2)本试验需进行两次平行测定,取其平均值,其平行差值一般不得不大于2%。
三、塑限实验(搓条法)
1、仪器设备:
(1)毛玻璃板。
(2)天平:感量0.01g。
(3)其他:烘箱、干燥器、称量盒、调土皿、直径3mm的铁丝等。
2、试验步骤:
(1)取0.5mm筛下的代表性试样100g,放在盛土皿中加纯水拌匀,温润过夜。
(2)将制备好的试样在手中揉捏至不粘手,捏扁,当出现裂缝时,表示含水量接近塑限。
(3)取接近塑限含水量的试样8~10g,用手搓成椭圆形,放在毛玻璃板上用手掌滚搓,手掌的压力要均匀地施加在土条上,不得使土条在毛玻璃上无力滚动,土条不得有空心现象,土条长度不宜大于手掌宽度。
(4)继续搓滚土条,直至土条直径达3mm时,产生裂缝并开始断裂为止。若土条搓至3mm时仍未产生裂缝及断裂,表示这时试样的含水量高于塑限,则将其重新捏成一团,重新搓滚;如土条直径大于3mm时即行断裂,表示试样含水量小于塑限,应弃去,重新取土加适量水调匀后再搓,直至合格。若土条在任何含水量下始终搓不到3mm即开始断裂,则认为该土无塑性。
(5)收集约3~5g合格的断裂土条,放入称量盒内,随即盖紧盒盖,测定其含水量。
3、成果整理:
(1)计算塑限,计算至0.1%

(2)本实验需进行两次平行测定,取其平均值,其平行差值当ωL<40%,不得大于1%,当ωL≥40%时,不得大于2%。
四、液、塑限联合测定:
1、仪器设备:
(1)液塑限联合测定仪主要有数码式(见图1)、光电式(见图2)、游标式(见图3),百分表式(见图4)等读数显示形式,或用沥青针入度仪,其中锥体质量为76克,锥角300。
(2)天平:称量200g重,感量0.01g。
(3)其他筛(孔径0.05mm),调土刀、调士皿、称量盒、研钵(附带橡皮头的研杵或橡皮板、木棒)、干燥器、吸管、凡士林、蒸馏水等。
2、操作步骤:
(1)取有代表性的天然含水量或风干土样进行试验。如土中含大于0.5mm的颗粒或夹杂物较多时,可采用风干土样,用带橡皮头的杵研碎或木棒在橡皮板上压碎土块。试样必须反复研碎,过筛。直至将可研碎的土块全部通过0.5mm的筛为止。取筛下土样用三皿或一皿法进行制样。
三皿法;用筛下土样200g左右,分开放入三个盛土皿中,用吸管加入不同数量的蒸馏水或自来水,土样的含水量分别控制在液限,塑限以上和它们的中间状态附近。用调土刀调匀,盖上湿布,放置18h以上。
(2)将制备好的土样充分搅拌均匀,分层装入土样试杯,用力压密,使空气逸出。对于较干的土样,应先充分搓揉,用调土刀反复压实。试杯装满后,刮成与杯边齐平。
(3)当用游标式或百分表式液塑联合测定仪实验时,调平仪器,提起锥杆(此时游标或百分表读数为零),锥头上涂少许凡士林,
(4)将装好土样的试杯放在联合测定仪的升降座上,转动升降旋钮,待锥尖与土面刚好接触时停止升降,扭动锥下降旋钮,同时开动秒表,经5s时,松开旋钮,锥体停止下落,此时游标读数即为锥入深度h1。
(5)改变锥尖与土体接触位置(锥尖两次锥入位置距离不小于1cm),重复上述(2)、(3)步骤,得锥入深度h2。h1、h2允许误差为0.5mm。否则,应重作。取h1、h2平均值作为该点的锥入深度h。
(6)去掉锥尖入土的凡士林,取10g以上的土样两个,分别放入称量盒内,称其质量(准确至0.01g),测定其含水量ω1、ω2(计算到0.1%)。计算含水量平均值ω。
(7)重复第(2)至(6)条步骤,对其它两个含水量土样进行实验,测其锥入深度和含水量。
(8)用光电式或数码式液塑限联合测定仪测定时,接通电源调平机身,打开开关,提上锥体(此时刻度或数码显示应为零)。将装好土样的试杯放在升降座上,转动升降旋钮。试杯徐徐上升,土样表面和锥尖刚好接触,指标灯亮,停止转动旋钮,锥体立刻自行下沉5s时自动停止下落,读数窗上或数码管上显示锥入深度。实验完毕,按动复位按钮,锥体复位,读数显示为零。


图2光电式液塑限联合测定仪
1、电源开关2、电源指标灯3、定时指示灯4、水平投影调节5、复位按钮6、读数窗7、零位调节8、电磁铁9、放大镜10、微分尺11、聚光镜12、光源13、锥杆卡舌及弹簧14、锥头15、盛土杯16、水平气泡17、升降旋钮18、调平脚螺丝

3、成果整理:
(1)含水量应按下式计算,计算至0.1%。

(2)含水量为横坐标,圆锥下沉深度纵坐标,在双对数坐标纸上绘制关系曲线,三点应在一直线上(见图5)。当三点不在一直线上时,通过高含水量的点与其余两点连成两条直线,在下沉深度为2mm处查得相应的二个含水量,当两个含水量的差值小于2%时,应以该两点含水量的平均值与高含水量的点连一直线。当两个含水量差值大于、等于2%时,应重作实验。
(3)在含水量与圆锥下沉深度的关系图上,查得下沉深度为17mm所对应的含水量为17mm液限,查得下沉深度为10mm,所对应的含水量为10mm液限,查得下沉深度为2mm所对应的含水量为塑限,取直至整数。
(4)塑性指数应按下式计算:

图5锥入深度与含水量(h-ω)关系图
实验四固结实验
一、概述:
土体在受外力作用后,其体积变小的现象称为土的压缩。引起土体压缩的原因有三:
一、是土粒本身的压缩;
二、是土孔隙中的水和气体的压缩;
三、是土孔隙中的水分与空气被挤出,土粒互相靠拢,孔隙变小。
根据研究,土粒和水本身的压缩量甚微,可以忽略不行。我们通常讲土的压缩,就是指土在某一压力作用下,其孔隙体积变小的现象。
实验性质:综合型实验。
二、实验目的:
测定试样在侧限与轴向排水条件下的变形和压力孔隙比与压力的关系、变形与时间的关系。以便计算压缩系数a,压缩模量Es,压缩指数Cc,回弹系数Cs,固结系数Cv等等,因为时间关系,本实验只测定孔隙比与压力的关系绘制压缩曲线,计算压缩系数a,为判别土的压缩性的高低提供必须资料。
三、仪器设备;
1、小型固结仪;
2、环刀;
3、天平;
4、秒表、切土刀、烘箱等等。
四、实验内容:
1确定土样实验前的密度实验。
2确定土样实验前的含水率实验。
3对土样进行加压实验。

1、水槽2、护环3、坚固圈4、环刀5、透水石6、加压上盖7、量表导杆8、量表架
(1)先在固结仪底部的透水石上加以润湿的滤纸,再将试样连同环刀一起推入容器内,套上导环,然后在试样上方顺序放上滤纸、透水石和传压板,置于加压框架下,对准加压框架正中。安装百分表。使百分表长短正好对准“0”。(注意要将百分表活动杆提到上部再调“0”)。
(2)施加予压荷重(1KPa),检查试样与仪器上下接触是否良好,,然后,调整量表微调,使长针读数为零。
(3)分四级荷载,开始加荷试验。
加荷大小与级数根据实际需要确定,本次实验采用常规试验确定用50、100、200、300等四级荷重顺序加压。每级荷重的稳定历时,要求在一小时内其变形量不超过0.005毫米。由于受时间所限制,每级荷重的历时为10分钟,即每加一级荷重经过10分钟,记下测微表读数,然后再加第二级荷重,以此类推,直至第四级荷重施加完毕为止。
五、成果整理(计算与绘图)
1、按下式计算试样初始孔隙比


实验五剪切实验
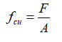
一、概述:
土的抗剪强度是土在外力作用下,其一部分土体对于另外一部分土体滑动时所具有的抵抗剪切的极限强度。测定土的抗剪强度,可以提供计算地基强度和地基稳定性用的基本指标,即土的内聚力和内摩擦角。土的内摩擦角和内聚力与抗剪强度之间的关系由库伦公式表示:

直接对试样施加剪力的设备叫直接剪力仪,常用的直接剪力仪根据施加剪应力的特点分为应力控制式和应变控制式两种。应力控制式是分级施加等量水平剪力于土样使之受剪,应变控制式是等速推动剪切容器使土样受剪。以应变式最为常用。见图1。

图1应变控制式直剪仪示意
1、剪切传动机构2、推动座3、下盒4、垂直加荷框架5、垂直位移量表6、传压板7、透水板8、上盒9、储水盒10、剪切力计算仪表11、水平位移量表12、滚珠13、试样
仪器的主要部件剪切容器是由固定的上盒和活动的下盒(应变式)或固定的下盒与活动的上盒(应力式)等部件组成。试样置于上下盒之间,在试样上先施加预定的法向压力σ,然后以一定速率分级施加水平力对试样加剪力,直至试样被剪损为止,此时在试样剪损面上因变形所生之剪应力,可借助于与上盒相接触的量力环的变形或以所加水平力与杠杆壁比关系确定。
为求得土的抗剪强度参数(c,φ)一般至少用4~5个试样,以同样的方法分别在不同的法向压力σ1、σ2、σ3……的作用下测出相应的τf1τf2τf3…的值,根据这些σ、τf值,即可在直角坐标图中绘出抗剪强度曲线(图2)。

图2抗剪强度与法向压力的关系
无论是饱和粘性土的抗剪强度实验,还是天然粘性土地基加荷过程中,孔隙水压力的消散,即荷载在土体中产生的应力全部转化为有效应力,需要一定的固结时间来完成。因此,土的固结过程,实质上也是土体强度不断增长的过程。对同一种土,即使在同一法向压力下,由于剪切前试样的固结过程和剪切试样的排水条件不同,其强度指标也是各异的,为了近似地模拟现场土体的剪切条件,即按剪切前的固结过程、剪切时的排水条件以及加荷快慢情况,将直剪实验分为快剪,固结快剪和慢剪三种实验方法。
1、快剪实验:
快剪实验,就是在对试样施加法向压力和剪力时,都不允许试样产生排水固结。由于在直剪仪上盒之间存在缝隙,要严格控制不排出一点水份是不可能的。为了尽量消除此种影响,一般在试样上下放置不透水有机玻璃圆块代替透水石,并在圆块周边涂抹凡士林,以阻止水份从缝隙中溢出。待施加预定的法向压力后,随即施加水平推力,并用较快的速度在3~5min将试样剪损。对于某些渗透性较强,而又是高含水量低密度的土,如淤泥质软土等,甚至要求在30~50s内剪损。
此实验方法一般用来模拟现场土体的土层较厚,渗透性较小,施工速度较快,基本上来不及固结就加载剪损的情况。
2、固结快剪实验:
先使试样在法向压力作用下达到完全固结,然后施加水平荷载进行剪切,在剪切时不让孔隙水排出,即不允许试样在剪切过程中发生固结,因此,在剪切时与快剪方法相同。
固结快剪实验一般用来模拟现场土体在自重和正常荷载作用下已达到完全固结状态,以后又遇到突然而施加荷载或因土层较薄、渗透性较小、施工速度较快的情况。
3、慢剪实验:
先使试样在法向压力下使之达到完全固结。根据土的渗透性大小,一般固结时间大致3~16h以上。之后施以慢速剪切,每次剪切历时一般约在1~4h左右。在每次施加水平荷重时,都得使土中水能充分排出,以清除其孔隙水压力影响,直至土样被剪损为止。
这种实验方法一般用来模拟现场土体充分固结后才开始逐步缓慢地承受荷载的情况。一般工程的正常施工进度都不符合这样的情况,所发在工程实际中较少直接采用。但此法所测定的强度指标,可用于有效应力的分析。
此外,由于无粘性土的渗透性大,即使快剪也会排水固结,所以规定对于无粘性土,可允许用一种剪切速率试验。
对于正常固结的粘性土,无论在法向压力或剪应力作用下都是压缩的,所以在一般情况下,快剪的抗剪强度最小,固结快剪的抗剪强度增大,而慢剪的抗剪强度最大。本实验采用快剪实验。
实验性质:验证型基本实验。
二、仪器设备:
(1)应变控制式直剪仪图(图1)。
(2)环刀:内径61.8mm,高20mm。
(3)位移量测设备:百分表或传感器,百分表量程应为10mm,分度值为0.01mm,传感器的精度应为零级。
三、操作步骤:
(1)试样制备
(2)对准剪切容器上下盒,插入固定销,在下盒内放透水石和滤纸,将带有试样的环刀刃口向下,对准剪切盒口,在试样上放滤纸和透水石,将试样小心地推入剪切盒内。
(3)移动传动装置,使上盒前端钢珠刚好与测力计接触,依次加上传压板,加压框架,安装垂直位移量测装置,测记初始读数。
(4)根据工程实验和土的软硬程度施加各级垂直压力。一般为25、50、100、200、300、400kpa等。各个垂直压力可一次轻轻施加,若土质构软,也可分次施加,以防土挤出。
(5)垂直压力施加后,拔出固定销,立即开动秒表,以0.8mm/min的剪切速度进行。即转动手轮;对一般粘性土约5~15s转一周。
(6)当测力计百分表读数不变或后退时,就继续剪切至剪切位移为4mm时停止,记下破坏值。当剪切过程中测力计百分表读数无峰值时,则剪切至剪切位移达6mm时停止。
(7)剪切结束,吸掉盒内积水,退去剪切力和垂直压力,移动压力框架,取出试样,测定试样含水量。
四、成果整理:
1、按下式计算每一试样的抗剪强度
τ=C·R
式中τ——相应于某一垂直压力的抗剪强度(kPa);
C——实验温度下的量力环应力系数(kPa/0.1mm);
R——剪切时量力环中百分表的最大读数(0.01mm)。
2、剪切位移按下式计算

3、作抗剪强度与垂直压力的关系图
确定土的内摩擦角和粘聚力(C、φ)。如各点不在一条近似的直线上,可按相邻的三点连接成两个三角形,分别得到两个三角形的重心,然的将两重心连成一直线,直线的倾角即为内摩擦角(φ),直线在纵坐标上的截距为粘聚力(c)。
4、作剪应力

图3剪应力
与剪切变形△L的关系曲线
实验六击实实验
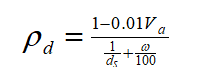
一、概述
用土作为路堤或筑坝等材料时,需要在模拟现场施工条件(包括施工机械和施工方法)下,找出获得压实填土的最大干密度和相应的最佳含水量的方法。击实实验就是为了这种实验目的利用标准化的击实仪具,试验土的最大干密度与击实方法的关系,得到一击实曲线(加图1所示),再结合现场土密度的测定,得出填土的压实度。用这种方法在现场控制施工质量,保证在一定的施工条件下压实填土达到设计所要求的压实度标准。所以击实实验是填土工程如路堤、土坝、机场跑道以及房屋填土地基设计施工中不可缺少的重要实验项目。

图1含水量与干密度的关系曲线
实验性质:验证型基本实验。
二、仪器设备
(1)标准击实仪,有轻型和重型两种。
(2)烘箱及干燥器。
(3)天平(感量0.01g)。
(4)台秤(称量10kg,感量5g)。
(5)圆孔筛(孔径38、25、19、和5mm各一个)。
(6)拌合工具。
(7)其他:喷水设备、碾土器、盛土盘、量筒、推土器、铝盒、修土刀、平直尺等。
三、操作步骤
1、方法
根据工程要求,确定试验方法。根据土的性质,按规定选用干法还是湿法。
2、备料
(1)干法(土重复使用),将具有代表性的风干土或低温50℃下烘干的放在橡皮板上,用圆木棍碾散,或用碾土机碾散,然后过不同孔径的筛(视粒径大小而定)。对于小试筒,按四分法取筛下的土约3kg;对于大试筒,同样按四分法取样约6.5kg。
估计土样风干或天然含水量,如风干含水量低于天始含水量太多时,可将土样铺于一不吸水的盘上,用喷水设备均匀地喷洒适当水量,并充分拌合,闷料一夜备用。
当起始含水量的试样击实后,可将试样搓散,然后加水拌合,但不需闷料,每次约增加2~3%的含水量,其中有两个大于和两个小于最佳含水量,所需加水量按下式计算:

式中mω——所需的加水量(g);
mi——含水量为ω1时土样质量(g);
ω1——土样原有含水量(%);
ω——要求达到的含水量(%)。
(2)干法(土样不重复使用),按四分法至少准备5个试样,分别加入不同水分(按2~3%的含水量递增),拌匀后闷料一夜备用。
(3)湿法(土不重复使用),对于高含水量土,可省略过筛,栋除大于38mm的粗石子即可。保持天然含水量的第一土样,可立即用于击实实验。其余几个试样,分别风干不同时间,使含水量按2~3%的递减。
3、击实
(1)采用重型击实仪;
将击实筒放在坚硬的地面上,取制备好的土样分3~5次倒入筒中。小筒按五层法时,每次约400~500g。对于大试筒,先将垫块放入筒内地板上,按五层法时,每层约需试样900~1100g,按三层法时,每层需试样1700g。整平表面,规定击数进行第一层土的击实,击实时击锤应自由垂直落下,锤迹必须均匀分布于土表面。第一层击实完后,将试样层面拉毛,然后再装入套筒,重复上述方法进行其余各层土的击实。
小试筒击实后,试样不宜高出筒5mm;大试筒击实后,试样不宜高出筒10mm。
(2)采用轻型击实仪:
将击实筒放在坚硬的地面上,取制备好的土样分三次倒入筒内。小筒按三层法时,每次约800~900g;大筒按三层法时,每层需试样1700g左右。按上节规定的击实方法击实。
4、称量
用修土刀沿套筒内壁削刮,使试样与套筒脱离后,扭动并取下套筒,齐筒顶细心削平试样,拆除底板,擦净筒外壁,称重,准确至1g。
5、测算
用推土器推出筒内试样,从试样中心处取样测其含水量,计算到0.1%。按上述步骤再进行其他含水量试样的击实实验。
四、成果整理
1、计算击实后各点的干密度

2、曲线绘制
以干密度为纵坐标,含水量为横坐标,绘制击实曲线。曲线上峰值点的纵、横坐标分别为最大干密度和最佳含水量。如曲线不能绘出明显的峰值点,应进行补点或重做。
3、计算空气体积等于零的等值线

式中:ρd——试样干密度(g/cm3)
Va——空气体积(%);
ds——试样比重;
ω——含水量。
实验七颗粒分析实验
一、概述
颗粒分析实验就是测定土中各种粒组所占该土总质量的百分数的试验方法,可分为筛析法和沉降分析法。其中沉降分析法又有密度计法和移液管法等。对于粒径大于0.075mm的土粒可用筛分析的方法来测定,而对于粒径小于0.075mm的土粒则用沉降分析方法来测定。
这里我们仅对筛析法进行介绍。
二、筛析法
筛析法就是将土样通过各种不同孔径的筛子,并按筛子孔径的大小将颗粒加以分组,然后再称量并计算出各个粒组占总量的该土总质量的百分数。筛析法是测定土的颗粒组成最简单的一种实验方法,适用于粒径小于、等于60mm,大于0.075mm的土。
(一)仪器设备
1、分析筛;
①圆孔粗筛,孔径为60mm,40mm,20mm,10mm,5mm和2mm。
②圆孔细筛,孔径为2mm,1mm,0.5mm,0.25mm,0.075mm。
2、称量1000g、最小分度值0.1g的天平;称量200g、最小分度值0.01g的天平;
3、振筛机;
4、烘箱、量筒、漏斗、研钵、瓷盘、不锈钢勺等。
(二)操作步骤
先用风干法制样,然后从风干松散的土样中,按表5-1称取代表性的试样,称量准确至0.1g,当试样质量超过500g时,称量应准确至1g。
1、无粘性土
(1)将按表5-1称取的试样过孔径为2mm的筛,分别称取留在筛子上和已通过筛子孔径的筛子下试样质量。当筛下的试样质量小于试样总质量的10%时,不作细筛分析;当筛上的试样质量小于试样总质量的10%时,不作粗筛分析。
(2)取2mm筛上的试样倒入依次叠好的粗筛的最上层筛中,进行粗筛筛析,然后再取2mm筛下的试样倒入依次叠好的细筛的最上层筛中,进行细筛筛析。细筛宜置于振筛机上进行震筛,振筛时间一般为10~15min。
(3)按由最大孔径的筛开始,顺序将各筛取下,称留在各级筛上及底盘内试样的质量,准确至0.1g。
(4)筛后各级筛上及底盘内试样质量的总和与筛前试样总质量的差值,不得大于试样总质量的1%。
表5-1筛析法取样质量
颗粒尺寸(mm) |
取样质量(g) |
<2 |
100~300 |
<10 |
300~1000 |
<20 |
1000~2000 |
<40 |
2000~4000 |
<60 |
4000以上 |
2、含有细粒土颗粒的砂土
(1)将按5-1表称取的代表性试样,置于盛有清水的容器中,用搅棒充分搅拌,使试样的粗细颗粒完全分离。
(2)将容器中的试样悬液通过2mm的筛,取留在筛上的试样烘至恒量,并称烘干试样质量,准确至0.1g。
(3)将粒径大于2mm的烘干试样倒入依次叠好的粗筛的最上层筛中,进行粗筛筛析。按由最大孔径的筛开始,顺序将各筛取下,称留在各级筛上及底盘内试样的质量,准确至0.1g。
(4)取通过2mm筛下的试样悬液,用带橡皮头的研杆研磨,然后再过0.075mm筛,并将留在0.075mm筛上的试样烘干至恒量,称烘干试样质量,准确至0.1g。
(5)将粒径大于0.075mm的烘干试样倒入依次叠好的细筛的最上层筛中,进行细筛筛析。细筛宜置于振筛机上进行震筛,振筛时间一般为10~15min。
(6)当粒径小于0.075mm的试样质量大于试样总质量的10%时,应采用密度计法或移液管法测定小于0.075mm的颗粒组成。
(三)成果整理
1、小于某粒径的试样质量占试样总质量的百分比可按式(5-1)计算:

式中Cu—不均匀系数;
d60—限制粒径,在颗粒大小分布曲线上小于该粒径的土含量占土总质量60%的粒径;
d10—有效粒径,在颗粒大小分布曲线上小于该粒径的土含量占土总质量10%的粒径。
4、按式(5-3)计算曲率系数:

—在颗粒大小分布曲线上小于该粒径的土含量占土总质量30%的粒径。
5、试验记录
筛析法颗粒分析试验记录
实验八土的相对密度实验
一、目的要求
掌握砂的相对密度试验方法及实验数据分析与整理,利用试验数据判断砂土的密实度。
二、试验方法
本试验方法适用于粒径不大于5mm的土,且粒径2—5mm的试样质量不大于试样总质量的15%。
砂的相对密度试验是进行砂的最大于密度和最小干密度试验,砂的最小干密度试验宜采用漏斗法和量筒法,砂的最大干密度试验采用振动锤击法。
本试验必须进行两次平行测定两次测定的密度差值不得大于0.03g/cm,取两次测值的平均值。
三、试验仪器设备
本试验所用的主要仪器设备,应符合下列规定:
1、量筒:容积500mL和1000mL,后者内径应大于60mm。
2、长颈漏斗:颈管的内径为1.2cm,颈口应磨平。
3、锥形塞:直径为1.5em的圆锥体,焊接在铁杆上。
4、砂面拂于器:十字形金属平面焊接在铜杆下端。

图6.1漏斗及拂平器
l—锥形塞;2—长颈漏斗;3—砂面挑平揣
5金属圆筒:容积250ral,内径为5cm;容积1000mL,内径为10cm,高度均为12.7cm,附护筒。
6振动叉。
7击锤:锤质量1.25kg,落高15cm,锤直径5cm。

四、试验步骤:
(一)砂的最小干密度测定
1、将锥形塞杆自长颈漏斗下口穿入,并向上提起,使锥底堵住漏斗管口,一并放入1000mL的量筒内,使其下端与量筒底接触。
2、称取烘干的代表性试样700g,均匀缓慢地倒入漏斗中,将漏斗和锥形塞杆同时提高,移动塞杆,使锥体略离开管口,管口应经常保持高出砂面1~2cm,使试样缓慢且均匀分布地落入量筒中。
3、试样全部落入量筒后,取出漏斗和锥形塞,用砂面拂平器将砂面拂严、测记试样体积,估读至5mL。
注:若试样中不含大于2mm的颗粒时,可取试样400g用500mL的量筒进行试验。
4、用手掌或橡皮板堵住量筒口,将量筒倒转并缓慢地转回到原来位置,重复数次,记下试样在量筒内所占体积的最大值,估读至5mL。
5、取上述两种方法测得的较大体积值,计算最小干密度。
6、最小于密度应按下式计算:

(二)砂的最大干密度试验
1取代表性试样2000g,拌匀,分3次倒入金属圆筒进行振击,每层试样宜为圆筒容积的1/3,试样倒入筒后用振动叉以每分钟往返150—200次的速度敲打圆筒两侧,并在同一时间内用击锤锤击试样表面,每分种30~60次,直至试样体积不变为止。如此重复第二层和第三层。
2取下护筒,刮平试样,称圆筒和试样的总质量,计算出试样质量。
3最大干密度应按下式计算:
